题目内容

设函数f(x)=xsinx(x∈R),
(Ⅰ)证明f(x+2kπ)-f(x)=2kπsinx,其中k为整数;
(Ⅱ)设x0为f(x)的一个极值点,证明
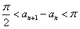
(Ⅲ)设f(x)在(0,+∞)内的全部极值点按从小到大的顺序排列a1,a2,…,an,…,证明

(Ⅰ)证明:由函数f (x)的定义,对任意整数k,

(Ⅱ)证明:函数f(x)在定义域R上可导,
, ①
令f′(x)=0,得sinx+xcosx=0,
显然,对于满足上述方程的x有cosx≠0,
上述方程化简为x=-tanx,
如图所示,此方程一定有解,
f(x)的极值点x0一定满足

因此,
(Ⅲ)证明:设x0>0是f′(x)=0的任意正实根,

则存在一个非负整数k,使
即x0在第二或第四象限内,
由①式,在第二象限或第四象限中的符号
可列表如下:

所以满足的正根x0都为f(x)的极值点,
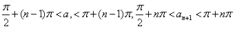
由题设条件,为方程x=-tanx的全部正实根且满足

那么对于n=1,2,…,

, ②
由于

由于
由②式知
由此可知必在第二象限,即
综上,
练习册系列答案
相关题目

违法和不良信息举报电话:027-86699610 举报邮箱:58377363@163.com

精英家教网