搜索
题目内容
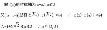
已知函数f(x)=
-2ax+5,若f(x)在区间(-∞,2〕上是减函数,且对任意的
〔1,a+1〕,总有|f(
)-f(
)|≦4 ,求实数a的取值范围
试题答案
相关练习册答案
练习册系列答案
优等生快乐暑假云南人民出版社系列答案
暑假学习生活译林出版社系列答案
成长记初中假期作业暑假云南教育出版社系列答案
暑假生活上海教育出版社系列答案
暑假天地重庆出版社系列答案
暑假作业非常5加2白山出版社系列答案
学力水平快乐假期系列答案
独占鳌头暑假乐园河北人民出版社系列答案
新思维新捷径新假期暑假新捷径吉林大学出版社系列答案
寒假作业内蒙古教育出版社系列答案
相关题目
已知函数
f(x)=
3x+5,(x≤0)
x+5,(0<x≤1)
-2x+8,(x>1)
,
求(1)
f(
1
π
),f[f(-1)]
的值;
(2)若f(a)>2,则a的取值范围.
已知函数
f(x)=
(1-3a)x+10ax≤7
a
x-7
x>7.
是定义域上的递减函数,则实数a的取值范围是( )
A、
(
1
3
,1)
B、(
1
3
,
1
2
]
C、(
1
3
,
6
11
]
D、
[
6
11
,1
)
已知函数
f(x)=
|x-1|-a
1-
x
2
是奇函数.则实数a的值为
.
已知函数
f(x)=
2
x
-
2
-x
2
x
+
2
-x
(1)求f(x)的定义域与值域;
(2)判断f(x)的奇偶性并证明;
(3)研究f(x)的单调性.
已知函数
f(x)=
x-1
x+a
+ln(x+1)
,其中实数a≠1.
(1)若a=2,求曲线y=f(x)在点(0,f(0))处的切线方程;
(2)若f(x)在x=1处取得极值,试讨论f(x)的单调性.
关 闭
试题分类
高中
数学
英语
物理
化学
生物
地理
初中
数学
英语
物理
化学
生物
地理
小学
数学
英语
其他
阅读理解答案
已回答习题
未回答习题
题目汇总
试卷汇总
练习册解析答案