题目内容
设函数f(x)=lnx﹣
a
﹣bx.
(1)当a=b=
时,求f(x)的最大值;
(2)令F(x)=f(x)+
a
+bx+
(0<x≤3),以其图象上任意一点P(x0,y0)为切点的切线的斜率k≤
恒成立,求实数a的取值范围;
(3)当a=0,b=﹣1时,方程2mf(x)=
有唯一实数解,求正数m的值.
(1)当a=b=
(2)令F(x)=f(x)+
(3)当a=0,b=﹣1时,方程2mf(x)=
解:(1)依题意,知f(x)的定义域为(0,+∞).
当
时,
,
.
令f'(x)=0,解得x=1.
当0<x<1时,f'(x)>0,此时f(x)单调递增;
当x>1时,f'(x)<0,此时f(x)单调递减.
所以f(x)的极大值为
,此即为最大值.
(2)
,
所以
,,在x0∈(0,3]上恒成立,
所以
,x0∈(0,3]
当x0=1时,
取得最大值
.
所以a≥
.
(3)因为方程2mf(x)=
有唯一实数解,
所以
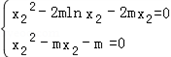
﹣2mlnx﹣2mx=0有唯一实数解.
设g(x)=
﹣2mlnx﹣2mx,则
.
令g'(x)=0,得
﹣mx﹣m=0.
因为m>0,x>0,
所以
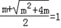
(舍去),
,
当x∈(0,
)时,g'(x)<0,g(x)在(0,
)单调递减,
当x∈(
,+∞)时,g'(x)>0,g(x)在(
,+∞)单调递增.
当x=
时,g'(
)=0g(x),g(
)取最小值g(
).
因为g(x)=0有唯一解,所以g(
)=0.
则
,即
所以2mln
+m
﹣m=0,
因为m>0,所以2ln
+
﹣1=0.
设函数h(x)=2lnx+x﹣1,
因为当x>0时,h(x)是增函数,
所以h(x)=0至多有一解.
因为h(I)=0,所以方程的解为(
)=1,
即
,解得
当
令f'(x)=0,解得x=1.
当0<x<1时,f'(x)>0,此时f(x)单调递增;
当x>1时,f'(x)<0,此时f(x)单调递减.
所以f(x)的极大值为
(2)
所以
所以
当x0=1时,
所以a≥
(3)因为方程2mf(x)=
所以
设g(x)=
令g'(x)=0,得
因为m>0,x>0,
所以
当x∈(0,
当x∈(
当x=
因为g(x)=0有唯一解,所以g(
则
所以2mln
因为m>0,所以2ln
设函数h(x)=2lnx+x﹣1,
因为当x>0时,h(x)是增函数,
所以h(x)=0至多有一解.
因为h(I)=0,所以方程的解为(
即
练习册系列答案
相关题目