题目内容
已知数列{an}是等差数列,a2=6,a5=18;数列{bn}的前n项和是Tn,且Tn+
bn=1。
(1)求数列{an}的通项公式;
(2)求证:数列{bn}是等比数列;
(3)记cn=an·bn,求{cn}的前n项和Sn。
(1)求数列{an}的通项公式;
(2)求证:数列{bn}是等比数列;
(3)记cn=an·bn,求{cn}的前n项和Sn。
解:(1)设{an}的公差为d,则:

∵
∴
∴
∴
。
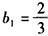
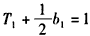
(2)当n=1时,b1=T1,由
得
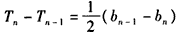
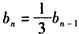
当n≥2时
∵
∴
即
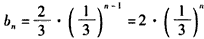
∴
。
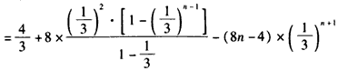
(3)由(2)可知:

∴
∴

∴

∴



∴
。
∵
∴
∴
∴
(2)当n=1时,b1=T1,由
当n≥2时
∵
∴
即
∴
(3)由(2)可知:
∴
∴
∴
∴
∴
练习册系列答案
相关题目