题目内容

已知向量a,b,c满足,则的最小值为(    )

A.   B.   C.   D.

 

【答案】

A

【解析】

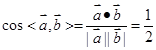
试题分析:,则,以为原点,轴建系,则,即,设

,∴,∴

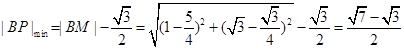
圆心,即圆外点与圆上任一点的距离的最小值问题,∴.

考点:1.夹角公式;2.圆的标准方程;3.两点间距离公式.

 

练习册系列答案
相关题目

违法和不良信息举报电话:027-86699610 举报邮箱:58377363@163.com

精英家教网