题目内容
在△ABC中,角A、B、C的对边分别为a、b、c,其中
【答案】分析:利用余弦定理与已知条件三角形的面积得到方程组,然后求出a,b的值.
解答:解:由余弦定理及已知条件可得a2+b2-ab=4.
又∵△ABC的面积等于
.
∴
absinC=
,得ab=4.
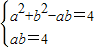
联立方程组
,
解得a=2,b=2.
点评:本题考查余弦定理的应用,三角形的面积公式的应用,考查计算能力.
解答:解:由余弦定理及已知条件可得a2+b2-ab=4.
又∵△ABC的面积等于
∴
联立方程组
解得a=2,b=2.
点评:本题考查余弦定理的应用,三角形的面积公式的应用,考查计算能力.
练习册系列答案
相关题目
在△ABC中,角A、B、C所对的边分别为a,b,c,若b2+c2-a2=
bc,且b=
a,则下列关系一定不成立的是( )
| 3 |
| 3 |
| A、a=c |
| B、b=c |
| C、2a=c |
| D、a2+b2=c2 |