题目内容
已知函数f(t)=
,g(x)=cosx·f(sinx)+sinx·f(cosx),x∈
。
(1)将函数g(x)化简成Asin(ωx+φ)+B(A>0,ω>0,φ∈[0,2π))的形式;
(2)求函数g(x)的值域。
(1)将函数g(x)化简成Asin(ωx+φ)+B(A>0,ω>0,φ∈[0,2π))的形式;
(2)求函数g(x)的值域。
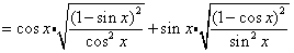
解:(1)


∵
∴
∴

。
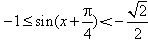
(2)由
得
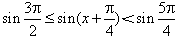
∵sint在
上为减函数,在
上为增函数,
又
∴
(当
),
即
∴
故g(x)的值域为
。
∵
∴
∴
(2)由
∵sint在
又
∴
即
∴
故g(x)的值域为
练习册系列答案
相关题目