题目内容
已知函数(Ⅰ)求f(x)+f(1-x),x∈R的值;
(Ⅱ)若数列{an} 满足an=f(0)+f(
(Ⅲ)若数列 {bn} 满足bn=2n+1•an,Sn 是数列 {bn} 的前n项和,是否存在正实数k,使不等式knSn>4bn对于一切的n∈N*恒成立?若存在,请求出k的取值范围;若不存在,请说明理由.
【答案】分析:(Ⅰ)由
,能够求出f(x)+f(1-x)=1.
(Ⅱ)由an=f(0)+f(
)+f(
)+…+f(
)+f(1)(n∈N*),结合f(x)+f(1-x)=1,利用倒序相加法,能够求出
.
(Ⅲ)由bn=2n+1•an,bn=(n+1)•2n,知Sn=2•21+3•22+4•23+…+(n+1)•2n,利用错位相减法求出
,要使不等式knSn>4bn对于一切的n∈N*恒成立,即kn2-2n-2>0对于一切的n∈N*恒成立.由此能够求出k的取值范围.
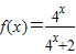
解答:解:(Ⅰ)∵数
,
∴f(x)+f(1-x)
=
+
=
+
=1
(Ⅱ)∵an=f(0)+f(
)+f(
)+…+f(
)+f(1)(n∈N*),①
∴
,②
由(Ⅰ),知f(x)+f(1-x)=1
∴①+②,得2an=(n+1),∴
.
(Ⅲ)∵bn=2n+1•an,∴bn=(n+1)•2n,
∴Sn=2•21+3•22+4•23+…+(n+1)•2n,③
2Sn=2•22+3•23+4•24+…+(n+1)•2n+1,④
③-④,得-Sn=4+22+23+…+2n-(n+1)•2n+1,
即
,要使不等式knSn>4bn对于一切的n∈N*恒成立,
即kn2-2n-2>0对于一切的n∈N*恒成立.
∴k
对一切的n∈N*恒成立,
令f(n)=
=
=
,
∵(n+1)+
在n∈N*是单调递增的,
∴(n+1)+
的最小值为2+
=
,
∴f(n)min=
=4,
∴k>4.
点评:本题考查数列通项公式的求法,探索满足条件的实数的取值范围.解题时要认真审题,仔细解答,注意倒序相加法、错位相减法的合理运用.
(Ⅱ)由an=f(0)+f(
(Ⅲ)由bn=2n+1•an,bn=(n+1)•2n,知Sn=2•21+3•22+4•23+…+(n+1)•2n,利用错位相减法求出
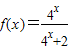
解答:解:(Ⅰ)∵数
∴f(x)+f(1-x)
=
=
(Ⅱ)∵an=f(0)+f(
∴
由(Ⅰ),知f(x)+f(1-x)=1
∴①+②,得2an=(n+1),∴
(Ⅲ)∵bn=2n+1•an,∴bn=(n+1)•2n,
∴Sn=2•21+3•22+4•23+…+(n+1)•2n,③
2Sn=2•22+3•23+4•24+…+(n+1)•2n+1,④
③-④,得-Sn=4+22+23+…+2n-(n+1)•2n+1,
即
即kn2-2n-2>0对于一切的n∈N*恒成立.
∴k
令f(n)=
∵(n+1)+
∴(n+1)+
∴f(n)min=
∴k>4.
点评:本题考查数列通项公式的求法,探索满足条件的实数的取值范围.解题时要认真审题,仔细解答,注意倒序相加法、错位相减法的合理运用.
练习册系列答案
相关题目