题目内容
已知椭圆C:(Ⅰ)求椭圆C的方程;
(Ⅱ)设直线l与椭圆C交于A、B两点,坐标原点O到直线l的距离为
【答案】分析:(Ⅰ)设椭圆的半焦距为c,依题意求出a,b的值,从而得到所求椭圆的方程.
(Ⅱ)设A(x1,y1),B(x2,y2).(1)当AB⊥x轴时,
.(2)当AB与x轴不垂直时,设直线AB的方程为y=kx+m.
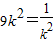
由已知
,得
.把y=kx+m代入椭圆方程,整理得(3k2+1)x2+6kmx+3m2-3=0,然后由根与系数的关系进行求解.
解答:解:(Ⅰ)设椭圆的半焦距为c,依题意
∴b=1,∴所求椭圆方程为
.
(Ⅱ)设A(x1,y1),B(x2,y2).
(1)当AB⊥x轴时,
.
(2)当AB与x轴不垂直时,设直线AB的方程为y=kx+m.
由已知
,得
.
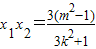
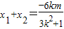
把y=kx+m代入椭圆方程,整理得(3k2+1)x2+6kmx+3m2-3=0,
∴
,
.
∴|AB|2=(1+k2)(x2-x1)2
=
=
=
=
=
.
当且仅当
,即
时等号成立.当k=0时,
,
综上所述|AB|max=2.∴当|AB|最大时,△AOB面积取最大值
.
点评:本题考查圆锥曲线的性质和应用,解题时要注意公式的灵活运用,认真审题,仔细解答.
(Ⅱ)设A(x1,y1),B(x2,y2).(1)当AB⊥x轴时,
由已知
解答:解:(Ⅰ)设椭圆的半焦距为c,依题意
(Ⅱ)设A(x1,y1),B(x2,y2).
(1)当AB⊥x轴时,
(2)当AB与x轴不垂直时,设直线AB的方程为y=kx+m.
由已知
把y=kx+m代入椭圆方程,整理得(3k2+1)x2+6kmx+3m2-3=0,
∴
∴|AB|2=(1+k2)(x2-x1)2
=
=
=
=
=
当且仅当
综上所述|AB|max=2.∴当|AB|最大时,△AOB面积取最大值
点评:本题考查圆锥曲线的性质和应用,解题时要注意公式的灵活运用,认真审题,仔细解答.
练习册系列答案
相关题目