题目内容
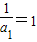
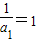
已知数列{an}中,a1=1,an+1=(1)求数列{an}的通项公式an;
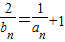
(2)设:
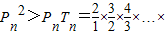
(3)已知P=(1+b1)(1+b3)(1+b5)…(1+b2n-1),求证:Pn>
【答案】分析:(1)由an+1=
得:
且
,所以
,由此得
.
(2)由
得:
,∴
,从而:
,由裂项求和法能得到数列{bnbn+1}的前n项的和Tn.
(3)由Pn=(1+b1)(1+b3)(1+b5)…(1+b2n-1)=
,(4n)2<(4n)2-1,知
,由此能够证明Pn>
.
解答:解:(1)由an+1=
得:
且
,
所以知:数列{
}是以1为首项,以2为公差的等差数列,
所以
,得
.
(2)由
得:
,∴
,
从而:
,
则 Tn=b1b2+b2b3+…+bnbn+1=
=(1-
)+(
)+(
)+…+(
)
=1-
.
(3)已知Pn=(1+b1)(1+b3)(1+b5)…(1+b2n-1)=
,
∵(4n)2<(4n)2-1,∴
设:
,则Pn>Tn
从而:
,
故:Pn>
.
点评:本题考查数列的通项公式、前n项和的求法和数列与不等式的综合运用,解题时要注意构造法、裂项求和法的合理运用.
(2)由
(3)由Pn=(1+b1)(1+b3)(1+b5)…(1+b2n-1)=
解答:解:(1)由an+1=
所以知:数列{
所以
(2)由
从而:
则 Tn=b1b2+b2b3+…+bnbn+1=
=(1-
=1-
(3)已知Pn=(1+b1)(1+b3)(1+b5)…(1+b2n-1)=
∵(4n)2<(4n)2-1,∴
设:
从而:
故:Pn>
点评:本题考查数列的通项公式、前n项和的求法和数列与不等式的综合运用,解题时要注意构造法、裂项求和法的合理运用.
练习册系列答案
相关题目
已知数列{an}中,a1=1,2nan+1=(n+1)an,则数列{an}的通项公式为( )
A、
| ||
B、
| ||
C、
| ||
D、
|