题目内容
设
,其中a为正实数,
(1)当a=
时,求f(x)的极值点;
(2)若f(x)为R上的单调函数,求a的取值范围.
(1)当a=
(2)若f(x)为R上的单调函数,求a的取值范围.
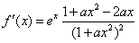
解:对f(x)求导得
,①
(1)当
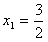
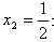
时,若f′(x)=0,则4x2-8x+3=0,解得
,
结合①,可知

所以,
是极小值点,
是极大值点.
(2)若f(x)为R上的单调函数,则f′(x)在R上不变号,
结合①与条件a>0,知ax2-2ax+1≥0在R上恒成立,
因此Δ=4a2-4a=4a(a-1)≤0,
由此并结合a>0,知0<a≤1。
(1)当
结合①,可知
所以,
(2)若f(x)为R上的单调函数,则f′(x)在R上不变号,
结合①与条件a>0,知ax2-2ax+1≥0在R上恒成立,
因此Δ=4a2-4a=4a(a-1)≤0,
由此并结合a>0,知0<a≤1。
练习册系列答案
相关题目