题目内容
设函数f(x)=
x2-lnx,其中a为大于零的常数。
(1)当a=1时,求函数f(x)的单调区间和极值;
(2)当x∈[1,2]时,不等式f(x)>2恒成立,求a的取值范围。
(1)当a=1时,求函数f(x)的单调区间和极值;
(2)当x∈[1,2]时,不等式f(x)>2恒成立,求a的取值范围。
解:(1)当a=1时,
令f'(x)>0得x>1,
令f'(x)<0得0<x<1,
故函数f(x)的单调递增区间为(1,+∞),单调递减区间为(0,1)
从而f(x)在(0,+∞)上的极小值为
f(x)无极大值。
(2)
f(x)>2在[1,2]上恒成立
f(x)在[1,2]上的最小值f(x)min>2
∵a>0
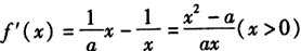
∴令f'(x)=0得
①当
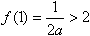
时,即0<a≤1时,函数f(x)在[1,2]上递增,
f(x)的最小值为
解得
;
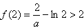
②当
时,即
时,函数f(x)在[1,2]上递减,
f(x)的最小值为
,无解
③当
时,即1<a<4时,函数f(x)在
上递减,在
上递增,
所以f(x)的最小值为
2,无解
综上,所求a的取值范围为
。
令f'(x)>0得x>1,
令f'(x)<0得0<x<1,
故函数f(x)的单调递增区间为(1,+∞),单调递减区间为(0,1)
从而f(x)在(0,+∞)上的极小值为
f(x)无极大值。
(2)
f(x)>2在[1,2]上恒成立
∵a>0
∴令f'(x)=0得
①当
f(x)的最小值为
解得
②当
f(x)的最小值为
③当
所以f(x)的最小值为
综上,所求a的取值范围为
练习册系列答案
相关题目