题目内容
在等差数列{an}中,Sn为{an}的前项和,Sn=
n2+
n,n∈N*,
(Ⅰ)求数列{an}的通项公式an;
(Ⅱ)若数列{bn}满足bn=nan(n∈N*),求数列
的前n项和Tn。
(Ⅰ)求数列{an}的通项公式an;
(Ⅱ)若数列{bn}满足bn=nan(n∈N*),求数列
解:(Ⅰ)当n=1时,
;
当n≥2时,
,
检验n=1时,
,符合上式,
则
。
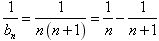
(Ⅱ)因为
,
所以
,
,

,
所以数列
的前n项和
。
当n≥2时,
检验n=1时,
则
(Ⅱ)因为
所以
所以数列
练习册系列答案
相关题目