题目内容
已知等差数列{an}的公差为2,其前n项和Sn=pn2+2n(n∈N*).
(Ⅰ)求p的值及an;
(Ⅱ)若
,记数列{bn}的前n项和为Tn,求使Tn>
成立的最小正整数n的值。
(Ⅰ)求p的值及an;
(Ⅱ)若
解:(Ⅰ)∵{an}是等差数列,
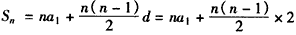
∴
,
又由已知Sn=pn2+2n,
∴p=1,a1-1=2,
∴a1=3,
∴an=a1+(n-1)d=2n+1,
∴p=1,an=2n+1。
(Ⅱ)由(Ⅰ)知
,
∴

,
又∵
,
∴
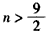
,∴20n>18n+9,即
,
又n∈N*,
∴使
成立的最小正整数的n值为5。
∴
又由已知Sn=pn2+2n,
∴p=1,a1-1=2,
∴a1=3,
∴an=a1+(n-1)d=2n+1,
∴p=1,an=2n+1。
(Ⅱ)由(Ⅰ)知
∴
又∵
∴
又n∈N*,
∴使
练习册系列答案
相关题目