题目内容
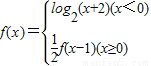
已知函数
【答案】分析:作出函数的图象,将方程
有两个不同实根,转化为图象由两个不同的交点,即可确定实数a的取值范围.
解答:解:函数
图象如图所示,
可由
变换得到,由图象可知,
图象经过(1,0)时,有三个交点,此时
;
经过(0,0)时,有两个交点,此时a=-1,
根据图象,方程
有两个不同实根时,实数a的取值范围是
故答案为:
.
点评:本题考查方程的解的个数,考查数形结合的数学思想,正确作出函数的图象是关键.
解答:解:函数
经过(0,0)时,有两个交点,此时a=-1,
根据图象,方程
故答案为:
点评:本题考查方程的解的个数,考查数形结合的数学思想,正确作出函数的图象是关键.
练习册系列答案
相关题目