题目内容
已知椭圆(Ⅰ)求椭圆的方程;
(Ⅱ)设直线MA,MB的斜率分别是k1,k2,求证k1+k2为定值.
【答案】分析:(Ⅰ)利用椭圆
的离心率是
,且经过点M(2,1),可求几何量,从而可求椭圆的方程;
(Ⅱ)直线方程
代入椭圆方程,利用韦达定理,结合斜率公式,化简可得结论.
解答:(Ⅰ)解:∵椭圆
的离心率是
,且经过点M(2,1),
∴
,
,
∴椭圆方程为
;
(Ⅱ)证明:直线方程
代入椭圆方程,化简可得x2+2mx+2m2-4=0,
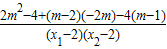
设A(x1,y1),B(x2,y2),则x1+x2=-2m,x1x2=2m2-4,
∴k1+k2=
+
=
=
=
=0
即k1+k2为定值.
点评:本题考查椭圆的标准方程,考查直线与椭圆的位置关系,考查学生的计算能力,属于中档题.
(Ⅱ)直线方程
解答:(Ⅰ)解:∵椭圆
∴
∴椭圆方程为
(Ⅱ)证明:直线方程
设A(x1,y1),B(x2,y2),则x1+x2=-2m,x1x2=2m2-4,
∴k1+k2=
=
即k1+k2为定值.
点评:本题考查椭圆的标准方程,考查直线与椭圆的位置关系,考查学生的计算能力,属于中档题.
练习册系列答案
相关题目