题目内容
设向量,其中
(1)求的取值范围;
(2)若函数,比较的大小。
设向量,其中.
(1)若//,求的值;
(2)若函数的大小
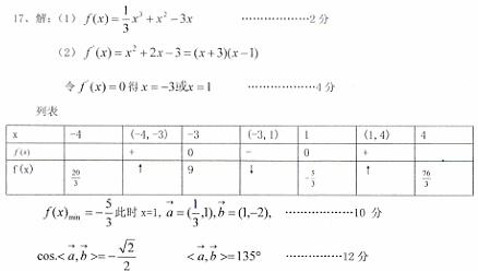
(本小题满分12分) 设向量,其中.(1)求的取值范围;(2)若函数的大小
(本小题满分12分)