题目内容
已知直线l:y=x+k经过椭圆
【答案】分析:由题意知椭圆焦距c=1,F2(1,0),代入y=x+k,得k=-1,将直线的方程代入椭圆的方程,消去y得到关于x的一元二次方程,再结合根系数的关系利用垂直关系即可求得a值,由此能求出椭圆方程.
解答:解:设椭圆焦距为2c,则
…(1分)
∴F2(1,0),代入y=x+k 得k=-1
将y=x-1代入椭圆方程整理得:(2a2-1)x2-2a2x+2a2-a4=0…(4分)
∵A、B点在直线l上,设A(x1,x1-1),B(x2,x2-1)
∵AF1⊥BF1 又F1(-1,0)
∴
…(8分)
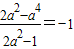
由韦达定理,
解得
…(10分)
∴
∴
为所求方程.…(14分)
点评:本题考查椭圆方程的求法,考要直线和椭圆位置关系的综合运用,解题时要认真审题,仔细解答,注意韦达定理、直线垂直等知识点的合理运用.
解答:解:设椭圆焦距为2c,则
∴F2(1,0),代入y=x+k 得k=-1
将y=x-1代入椭圆方程整理得:(2a2-1)x2-2a2x+2a2-a4=0…(4分)
∵A、B点在直线l上,设A(x1,x1-1),B(x2,x2-1)
∵AF1⊥BF1 又F1(-1,0)
∴
由韦达定理,
解得
∴
∴
点评:本题考查椭圆方程的求法,考要直线和椭圆位置关系的综合运用,解题时要认真审题,仔细解答,注意韦达定理、直线垂直等知识点的合理运用.
练习册系列答案
相关题目