题目内容
已知数列{an}是等差数列,且a1=2,(1)求数列{an}的通项公式;
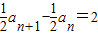
(2)令
【答案】分析:(1)利用二倍角公式对已知
进行化简,然后利用等差数列的通项公式即可求解
(2)由题意可得,
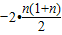
=2n•3n+n,然后利用分组求和及错位相减求和方法即可求解
解答:解:(1)∵a1=2,
=2cos
=1
∴an+1-an=2
∴数列{an}是以2为首项,以2为公差的等差 数列
∴an=2+2(n-1)=2n
(2)∵
=2n•3n+n
∴Tn=2(1•3+2•32+…+n•3n)+(1+2+…+n)
∴3Tn=2( 1•32+2•33+…+n•3n+1)+3(1+2+…+n)
两式相减可得,-2Tn=2(3+32+33+…+3n-n•3n+1)
=
=3n+1-3-n(n+1)
∴Tn=
点评:本题主要考查了等差数列的通项公式的求解,等差数列、等比数列的求和公式及分组求和、错位相减求和方法的综合应用.
(2)由题意可得,
解答:解:(1)∵a1=2,
∴an+1-an=2
∴数列{an}是以2为首项,以2为公差的等差 数列
∴an=2+2(n-1)=2n
(2)∵
∴Tn=2(1•3+2•32+…+n•3n)+(1+2+…+n)
∴3Tn=2( 1•32+2•33+…+n•3n+1)+3(1+2+…+n)
两式相减可得,-2Tn=2(3+32+33+…+3n-n•3n+1)
=
=3n+1-3-n(n+1)
∴Tn=
点评:本题主要考查了等差数列的通项公式的求解,等差数列、等比数列的求和公式及分组求和、错位相减求和方法的综合应用.
练习册系列答案
相关题目