现有A、B、C、D、E五种短周期元素,它们的核电荷数依次增大.①A是原子半径最小的元素;②B2是大气中含量最多的气体,它与A可形成10电子的分子;③C与A形成的化合物在常温下为液体,该物质也是10电子的分子④D可形成正1价离子D+,D单质与冷水剧烈反应放出氢气,且D的焰色反应呈黄色;⑤E和D两种元素可形成离子化合物DE,该化合物的溶液中加入硝酸酸化的A gNO3溶液产生白色沉淀.
(1)写出下列元素的符号:A________;B________;C________;D________;E________.
(2)写出A与B,A与C形成的10电子分子的化学式:________;________.
(3)写出A与C形成的10电子分子的电子式:________.
(4)用电子式表示DE的形成过程:________;
(5)写出D与水反应的化学方程式:________;
向2 L密闭容器中通入3 mol气体A和1 mol气体B,在一定条件下发生反应:3A(g)+B(g)2C(g)+qD(g),已知:2 min时反应达平衡,A变为1.8 mol,且混合气体的平均相对分子质量增大.
回答下列问题:
(1)q的值为________;
(2)反应2 min内,vA=________,vB=________;vC=________
(3)反应平衡时,B的浓度是________mol.L-1,D的物质的量为________mol.
(4)如果只升高反应温度,其他反应条件不变,则正反应的速率将________,逆反应的速率将________(填“增大”、“减小”或“不变”);如果其他条件不变,将容器的容积变为1 L,进行同样的实验,则与上述反应比较,反应速率将________(填“增大”、“减小”或“不变”),理由是________.
(5)若该反应的正反应是放热反应,说明反应物的总能量________生成物的总能量(填大于,小于或等于),若0.5 mol气体B完全反应放出热量为a,则该反应放出的热量________2a(填大于,小于或等于).
现有A、B、C、D、E五种主族元素,它们的核电荷数依次增大.①A的核电荷数小于10,可形成气态氢化物,该物质在常温下为液体,②A和C两种元素可形成化合物C2A3,该化合物既溶于强酸,又溶于强碱;③B的阳离子B+与C3+具有相同的电子层结构;④B和E可形成化合物BE;⑤BE溶液中通入Cl2后,加淀粉变蓝色;⑥在周期表中,D处于C的下一个周期,在理论上D单质与冷水剧烈反应放出氢气,且D单质与生成的氢气物质的量之比为2∶1.
(1)写出下列元素的名称:A________;E________.
(2)写出A与氢元素形成的两种化合物的电子式:________;________;
(3)用电子式表示B,2A的形成过程:________;
(4)写出⑤中发生的反应的离子方程式:________;
(5)C2A3与NaOH溶液反应的化学方程式为:________;
(6)E在元素周期表中的位置________;下列对E的性质的叙述正确的是________;
A.最高化合价为:+6价;
B.其气态氢化物比HF稳定;
C.其最高价氧化物对应的水化物呈碱性;
D.E在化学反应中可以获得一个电子达到稳定结构.
(7)请设计实验比较B、C的金属性强弱:
具有水果香味的中性物质A可以发生下列变化:
(1)推断下述物质的结构简式:
A:________
B:________
C:________
D:________
(2)写出下列变化的化学方程式:
A+NaOH→B+C:________反应类型________C→G:________反应类型________
有机物A的结构简式为,它可通过不同化学反应分别制得B、C、D和E四种物质.
请回答下列问题:
(1)指出反应的类型:A→C:________.
(2)在A~E五种物质中,互为同分异构体的是________(填代号).
(3)写出由A生成B的化学方程式________
(4)已知HCHO分子中所有原子都在同一平面内,则在上述分子中所有的原子有可能都在同一平面的物质是________(填序号).
(5)C能形成高聚物,该高聚物的结构简式为________.
(6)写出D与NaOH溶液共热反应的化学方程式________
以石油裂解气为原料,通过一系列化学反应可得到重要的化工产品增塑剂G.
(1)E是一种石油裂解气,能使酸性高锰酸钾溶液褪色.同温同压下,E的密度是H2的21倍.核磁共振氢谱显示E有3种不同化学环境的氢原子,其个数比为1∶2∶3.E的结构简式为________.
(2)反应类型:①________,④________.
(3)反应条件:③________,⑥________.
(4)反应②、③的目的是________.
(5)反应⑤的化学方程式为________.
(6)B被氧化成C的过程中会有中间产物生成,该中间产物可能是________(写出一种物质的结构简式),检验该物质存在的试剂是________.
(7)G的结构简式为________.
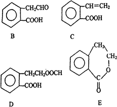
A、B、C、D四种芳香族化合物都是某些植物挥发油中的主要成分,有的是药物,有的是香料.它们的结构简式如下所示:
(1)写出B中无氧官能团的名称________,C中含氧官能团的符号________.
(2)用A、B、C、D填空:
①能发生银镜反应的有________.
②既能使FeCl3溶液显紫色又能和NaHCO3反应放出气体的有________.
(3)按下图C经一步反应可生成E,E是B的同分异构体,则反应①属于________反应(填反应类型名称),写出反应②的化学方程式:________.
(4)同时符合下列两项要求的D的同分异构体有4种:
①化合物是1,2-二取代苯
②苯环上的两个取代基分别为羟基和含有-COO-结构的基团.
其中两种(G和H)结构简式如下图所示,请补充另外两种.
________、________
(5)写出H与足量NaOH溶液反应的化学方程式:________
下表是元素周期表的一部分,表中所列的字母分别代表某一化学元素
(1)
表中所列元素中属于主族元素的有________;属于金属元素的有________;e在元素周期表中的位置是________.
(2)
下列________组元素的单质可能都是电的良导体.
A.
d、e、f
B.
b、c、i
C.
c、d、g
D.
a、g、k
(3)
表中某元素的最高价氧化物对应水化物呈两性的化学式是________,它与短周期元素b的最高价氧化物对应水化物发生反应的离子方程式是________;
(4)
b、a与j形成原子个数比为1∶1∶1的化合物中含有的化学键类型是________.
某芳香烃A,分子式为C8H10;某烃类衍生物X,分子式为C15H14O3,能使FeCl3溶液显紫色:J分子内有两个互为对位的取代基.在一定条件下有如下的转化关系:(无机物略去)
(1)A物质的结构简式为:________.写出三种属于芳香烃类的A的同分异构体________、________、________.(不包括A,写结构简式)
(2)J中所含的含氧官能团的名称为________.
(3)FH反应的化学方程是________;反应类型是________.
(4)B、C的混合物在NaOH乙醇溶液中加热可以生成同一种有机物I,以I为单体合成的高分子化合物的名称是________.
屠呦呦,药学家,中国中医研究院终身研究员兼首席研究员,青蒿素研究开发中心主任.多年从事中药和中西药结合研究,突出贡献是创制新型抗疟药——青蒿素和双氢青蒿素.2011年9月,获得被誉为诺贝尔奖“风向标”的拉斯克奖.这是中国生物医学界迄今为止获得的世界级最高级大奖.
已知甲基环己烷结构简式如图一,也可表示为图二的形式.抗虐新药青蒿素的结构简式如图三所示.其中过氧基(-O-O-)具有强氧化性,可消毒杀菌.
根据所学知识回答有关问题:
写出青蒿素的分子式________.
下列有关青蒿素的叙述正确的是
青蒿素是芳香族含氧衍生物
青蒿素具有强氧化性,可消毒杀菌
青蒿素属于酚类、酯类衍生物
1 mol青蒿素水解消耗2 mol NaOH
人工合成青蒿素的关键技术是以天然香草醛为原料,解决架设过氧桥难题.能在有机合成中引入羟基的反应类型有
①取代
②加成
③消去
④酯化
⑤还原
②③
①②⑤
①④
①②③⑤
一种天然香草醛的结构简式为:,有关反应过程如下:
①步骤①③的作用是________.
②写出下列物质的结构简式A________B________.