已知:
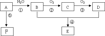
某一元氯代烃A分子式为C6H11Cl,可以发生如下图所示的转化:
结构分析表明F分子中含有两个甲基.请回答下列问题:
(1)G的分子式为________.
(2)写结构简式:A________,E________.
(3)A→B的反应方程式是________.
D→F的反应方程式是________.
(4)F和G________(是或否)互称为同分异构体.
分子式为C12H14O2的F有机物广泛用于香精的调香剂.
①R-CH2X+NaOHR-CH2OH+NaX(X代表卤素原子)
②
为了合成该物,某实验室的科技人员设计了下列合成路线:
试回答下列问题:
(1)A物质在核磁共振氢谱中能呈现________种峰;C物质的官能团名称________;E物质的结构简式________;
(2)上述合成路线中属于取代反应的是________(填编号);
(3)反应④的化学方程式为________;
(4)写出E属于芳香族化合物所有的同分异构体________.
在一个固定容积的密闭容器中,保持一定温度,发生反应A(g)+B(g)2C(g)已知加入1 mol A和2 mol B,在达到平衡后生成了a mol C,此时C在平衡混合物中的体积分数为M%.在相同实验条件下,
(1)若往相同容器中加入2 mol A、4 mol B,平衡后C的物质的量为________mol.
(2)若往相同容器中加入0.5 mol C,若要求平衡后C的物质的量为0.5a mol.
平衡后C的体积分数仍为M%,则还应往容器中加入A________mol,B________mol.
(3)若往相同容器中加入2 mol A、6 mol B,若要求平衡后C的体积分数仍为M%,则应加入C________mol,平衡后C的物质的量为________mol.
现有反应:mA(g)+nB(g)pC(g),达到平衡后,当升高温度时,B的转化率变大;当减小压强时,混合体系中C的质量分数也减小,则:
(1)该反应的逆反应为________热反应,且m+n________p(填“>”“=”“<”).
(2)减压时,A的质量分数________.(填“增大”“减小”或“不变”,下同)
(3)若加入B(体积不变),则A的转化率________,B的转化率________.
(4)若升高温度,则平衡时B、C的浓度之比将________.
(5)若加入催化剂,平衡时气体混合物的总物质的量________.
(6)若B是有色物质,A、C均无色,则加入C(体积不变)时混合物颜色________,而维持容器内压强不变,充入氖气时,混合物颜色________(填“变深”“变浅”或“不变”).
短周期六元素
(1)写出各元素的符号:
A________B________C________D________E________F________
(2)写出B与C形成的化合物的电子式________;该化合物的晶体类型________
(3)
(4)上述六种元素按电负性从小到大的排列是________
(5)C、D、E、F元素第一电离能最大的是________
(6)
酸性最强的是________
碱性最强的是________
呈两性的是________
有原子序数依次增大的五种短周期元素A、B、C、D、E,已知A、E同主族,A元素的原子半径最小,B元素原子的最外层电子数是内层电子数的2倍,C元素的最高价氧化物的水化物X与其氢化物反应生成一种盐Y;A、B、C、E四种元素都能与D元素形成原子个数比不相同的常见化合物,回答下列问题:
(1)B在周期表中的位置是________,E的原子结构示意图________.
(2)写出同时含A、B、C、D四种元素的两种盐的化学式________、________.
(3)BD2的结构式为________,E和D形成的一种化合物与BD2发生氧化还原反应,该反应的方程式为________.
(4)C元素的最高价氧化物的水化物与其氢化物反应的离子方程式________.
(5)在一定条件下,一定量的A的单质与C的单质反应,可生成17克气体化合物CA3,同时放出46 kJ的热量,写出该反应的热化学方程式________.
德国化学家列培(reppe)是乙炔高压化学的开拓者,他发现了一系列乙炔的高压反应(被称为列培反应),为有机合成工业作出了巨大的贡献.部分列培反应如下(条件从略):
A.HC≡CH+ROH→CH2=CHOR
B.HC≡CH+HCHO→HC≡CCH2OH
C.R2NCH2OH+HC≡CH→R2NCH2C≡CH+H2O
D.R2NH+HC≡CH→R2NCH=CH2
(1)以上反应中属于加成反应的有(填序号)________;
(2)该高聚物用途十分广泛,涉及到化妆品乳化剂、染料的分散剂,酒类的澄清剂等.试根据上图各有机物的转化关系完成下列问题:
①结构简式:E________ F________;
②反应类型:Ⅰ________ Ⅱ________.
从石器、青铜器到铁器时代,金属的冶炼体现了人类文明的发展水平.下图表示了三种金属被人类开发利用的大致年限.
(1)
上述图中的三种常用金属的开发利用之所以有先后,主要取决于
A.
金属的导电性强弱
B.
金属在地壳中的含量多少
C.
金属的化合价高低
D.
金属的活动性大小
(2)
早在西汉成书的《淮南万毕术》里,就有"曾青得铁则化为铜"的记载.曾青又有空青、白青、石胆、胆矶等名称其实都是天然的硫酸铜.
①写出"曾青得铁则化为铜"的离子方程式________.
②若根据上述反应设计成原电池,则:该原电池的电解质溶液为:________
正极材料为:________正极上发生的反应为:________
铁路工人常用铝热反应来焊接钢轨,写出有关的化学方程式:________.
教材中引发铝热反应的试剂是________和________
已知A为一种气态烃,其相对分子质量小于30,1 mol A完全燃烧生成的CO2和H2O物质的量之比为1∶1,中间产物C跟葡萄糖一样也能跟新制的Cu(OH)2发生反应产生砖红色沉淀,C也能发生银镜反应,E有香味,F为一种聚合物.(反应条件未写出).
请回答下列问题:
(1)区别A和甲烷可以采用的简单方法(含操作、现象和结论)有:________;
(2)A生成B的反应类型为________,C的结构简式为:________B、D中官能团的名称分别是________、________;
(3)物质B可以被直接氧化为D,需要加入的试剂是________.
(4)反应
(5)在实验室中获得的E物质往往是含有B物质和D物质的粗产品,要想获得较为纯净的E物质可以加入的试剂是________,相关分离操作方法是________(填名称).
(6)反应⑤
X、Y、Z、W均为短周期元素,它们在元素周期表中的位置如下图所示.其中Z元素原子的核外电子总数是其最外层电子数的3倍.
(1)元素W位于周期表中第________周期,________族;
(2)这些元素的氢化物中,水溶液呈碱性的是________(写化学式)
实验室检验这种氢化物通常采用的方法是________
现象是________;
(3)XW2的电子式为________;
(4)Z的最高价氧化物对应的水化物的化学式为________;