是一种医药中间体,常用来制备抗凝血药,可通过下列路线合成:
(1)写出G的含氧官能团的名称________;
(2)B→C的反应类型是________.
(3)A与银氨溶液反应有银镜生成,则A的结构简式是________.写出A和银氨溶液水浴加热反应的化学方程式:________;
(4)E的结构简式是________;
(5)下列关于G的说法正确的是________
a.能与溴单质反应
b.能与金属钠反应
c.1 mol G最多能和3 mol氢气反应
d.分子式是C9H6O3
乳酸分子式为C3H6O3,在一定的条件下可发生许多化学反应,下图是采用化学方法对乳酸进行加工处理的过程,其中A、H、G为链状高分子化合物.
请回答相关问题:
(1)写出结构简式:C________;F________.
(2)指出反应类型:①________③________.
(3)E中所含的官能团名称:________.
(4)反应④的化学方程式为:________.
(5)作为隐形眼镜的制作材料,对其性能的要求除应具有良好的光学性能外,还应具有良好的透气性和亲水性.一般采用E的聚合物G而不是D的聚合物H来制作隐形眼镜,其主要理由是________.
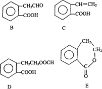
有机物A的结构简式为,它可通过不同化学反应分别制得B、C、D和E四种物质.
请回答下列问题:
(1)指出反应的类型:A→C:________.
(2)在A~E五种物质中,互为同分异构体的是________(填代号).
(3)写出由A生成B的化学方程式________.
(4)已知HCHO分子中所有原子都在同一平面内,则在上述分子中所有的原子有可能都在同一平面的物质是________(填序号).
(5)C能形成高聚物,该高聚物的结构简式为________.
(6)写出D与NaOH溶液共热反应的化学方程式________.
通常情况下,多个羟基连在同一个碳原子上的分子结构是不稳定的,容易自动失水,生成碳氧双键的结构:
下面是9种化合物的转变关系:
(1)化合物①的结构简式________,它跟氯气发生反应的条件A是________.
(2)化合物⑤跟⑦可在酸的催化作用下去水生成化合物⑨,⑨的结构简式是________,名称是________.
(3)③→⑥的化学反应方程式是________.
(4)化合物⑨是重要的定香剂,香料工业上常用化合物②和⑧直接合成它,此反应的化学反应方程式是________.
短周期元素A、B、C、D、E原子序数依次递增,A原子最外层电子数是次外层电子数的2倍,B的单质为双原子分子,其氢化物能使湿润的红色石蕊试纸变蓝,C在同周期元素中原子半径最大,D的最外层电子数等于电子层数,E的最高正价是+7价.
(1)写出E元素在周期表中的位置________.
(2)写出A元素气态氢化物的结构式________.
(3)B的氢化物和E的氢化物反应所得生成物的电子式为________.
(4)D单质和C的最高价氧化物对应的水化物的溶液反应的离子方程式为________.
(5)A单质与B的最高价氧化物对应的水化物的浓溶液反应的化学方程式为________.
非金属元素氮有多种氧化物,如NO、NO2、N2O4等.已知NO2和N2O4的结构式分别是和.实验测得N-N键键能为167 kJ·mol-1,NO2中氮氧双键的平均键能为466 kJ·mol-1,N2O4中氮氧双键的平均键能为438.5 kJ·mol-1.
(1)
写出N2O4转化为NO2的热化学方程式________
(2)
对反应N2O4(g)2NO2(g),在温度为T1、T2时,平衡体系中NO2的体积分数随压强变化曲线如图所示.下列说法正确的是
A.
A、C两点的反应速率:A>C
B.
B、C两点的气体的平均相对分子质量:B<C
C.
A、C两点气体的颜色:A深,C浅
D.
由状态B到状态A,可以用加热的方法
(3)
在100℃时,将0.400 mol的NO2气体充入2 L抽空的密闭容器中,每隔一定时间就对该容器内的物质进行分析,得到如下表数据:
①在上述条件下,从反应开始直至20 s时,二氧化氮的平均反应速率为________.
②该反应的平衡常数K的值为________;若100℃时的某时刻测得c(NO2)=1.00 mol/L,c(N2O4)=0.20 mol/L,则该时刻的v正________v逆(填“>”、“<”或“=”),升高温度后,反应2NO2N2O4的平衡常数将________(填“增大”、“减小”或“不变”).
③若在相同情况下最初向该容器充入的是N2O4气体,要达到上述同样的平衡状态,N2O4的起始浓度是________mol·L-1.
有A、B、C、D、E、F六种物质或粒子,其中A、B、C、D都具有如图所示的结构或结构单元.(说明:图中正四面体以外可能有的部分未画出,虚线不表示化学键或分子问作用力,X、Y可以相同也可以不同,Y原子的位置可以有原子也可以没有原子).A、B的晶体类型相同.单质A的同素异形体能与B物质发生置换反应.C、D、E、F含有相等的电子数,且D是阳离子,D与F的组成元素相同.C、E、F的晶体类型相同,由E构成的物质常温下呈液态.
(1)写出单质A的同素异形体与B物质发生置换反应的化学方程式:________.
(2)上述六种物质或粒子的组成元素中有三种处于同一周期,请写出这三种元素第一电离能由大到小的顺序是________(用元素符号回答).
(3)上述六种物质或粒子中互为等电子体的是________(写出化学式).
(4)F分子的中心原子杂化类型是________.E易溶于F,其原因是________.
由短周期元素组成的A、B、C、D、E、F六种微粒,其中只有C、D是分子,其余四种是离子,且每个微粒中都含有10个电子.已知A、E是由非金属元素组成的阳离子,六种微粒间有下列关系:
①A、B两种离子在加热条件下可生成C、D两种分子;
②通常状况下C的聚集状态为气态,且可使湿润的红色石蕊试纸变蓝;
③1 mol B离子与1 mol E离子作用可生成2 mol D分子;
④向含F离子的溶液中加入C的溶液,可生成白色沉淀W,C溶液过量沉淀也不消失,但再加入含大量B离子或大量E离子的溶液,沉淀W都会溶解.
(1)微粒A的化学式是________;微粒E的名称是________.构成微粒F的元素在元素周期表中的位置是________.
(2)写出F与过量C溶液反应的离子方程式:________.
(3)六种微粒中的两种可与硫酸根形成一种复盐,向该盐的浓溶液中逐滴加人浓苛性钠溶液,产生的现象有:a.溶液中出现白色沉淀;b.有刺激性气味气体放出;c.沉淀逐渐增多;d.沉淀完全消失;e.沉淀逐渐减少.
①该复盐在溶液中的电离方程式是________.
②上述各实验现象由先到后出现的正确顺序是(填写序号)________.
氮是地球上极为丰富的元素.填写下列空白.
(1)NH中N原子的杂化轨道类型为________,
NH的空间构型为________.
(2)常温下,锂可与氮气直接反应生成Li3N,Li3N晶体中氮以N3-存在,基态N3-的电子排布式为:________,Li3N晶体属于________晶体(填晶体类型).
(3)NH3的沸点为234K,NF3的沸点为154K,两者结构相似,NH3的沸点高于NF3的原因是:________.
(4)CO与N2相似,分子中都存在一个共价叁键,CO含________个π键.下表为CO与N2的相关信息.根据表中数据,说明CO比N2活泼的原因:________.
(5)根据下表数据,写出氮气与氢气反应生成氨气的热化学方程式________.
(6)CO与N2互为等电子体,其碳原子上有一对孤对电子,因此可作配体,如:Fe(CO)5、Ni(CO)4、Cr(CO)6等,在合成氨工业上中用铜洗液吸收CO,反应如下:
①基态Fe原子的未成对电子数有________个,
写出Cr、Cu+的价层电子排布式.________、________.
②醋酸二氨合铜(I)和醋酸羰基三氨合铜(I)都是配合物,[Cu(NH3)3CO]+中提供孤对电子的分子是:________,接受孤对电子的离子是:________,用箭号标出[Cu(NH3)2]+形成的配位键:________,[Cu(NH3)2]+中两个配位键的键角为180°,则Cu+采取________杂化与NH3形成配位键(填杂化类型).
③Ni(CO)4是无色液体,沸点42.1℃,熔点-19.3℃,难溶于水,易溶于有机溶剂.推测Ni(CO)4是________分子(填“极性”或“非极性”).
(7)氮化硅是一种高温陶瓷材料,它硬度大、熔点高、化学性质稳定.
①氮化硅晶体属于________晶体(填晶体类型);
②已知氮化硅晶体结构中,原子间都以共价键相连,且N原子与N原子,Si原子与Si原子不直接相连,同时每个原子都满足8电子结构,请写出氮化硅的化学式:________.
(8)极纯的氮气可由叠氮化钠(NaN3)加热分解而得到.2NaN3(s)=2Na(l)+3N2(g),反应过程中,断裂的化学键是离子键和共价键,形成的化学键有________.
A、B、C、D、E、F、G是前四周期的七种元素,其原子序数依次增大.A的基态原子中没有成对电子;B的基态原子中电子占据三种能量不同的原子轨道,且每种轨道中的电子数相同;D及其同主族元素的氢化物沸点变化趋势如图;F是地壳中含量最高的金属元素;E与F同周期,E的第一电离能高于F;G与F同主族.请回答下列问题:
(1)写出G元素基态原子的核外电子排布式________;
(2)B、C、D三种元素第一电离能由大到小的顺序是________(用元素符号表示);
(3)下列有关上述元素的说法,正确的是________(填序号);
①CA3沸点高于BA4,主要是因为前者相对分子质量较大
②配合物Ni(BD)4常温下为液态,易溶于CCl4、苯等有机溶剂,因此固态Ni(BD)4属于分子晶体
③C的氢化物的中心原子采取sp2杂化
④F单质的熔点高于E单质,是因为F单质的金属键较强
⑤比G的原子序数少1的元素第一电离能高于G
(4)CA3分子的空间构型为________,14 g B2A4分子中含有________molσ键;
(5)ED是优良的耐高温材料,其晶体结构与NaCl晶体相似.ED的熔点比NaCl高,其原因是________.