阅读下表中短周期主族元素的相关信息.
请回答:
(1)
在一定条件下,B2与C的单质在海水中可形成原电池,为新型海水航标灯提供能源.写出该原电池正极的电极反应式________.
(2)
用惰性电极电解化合物AD的水溶液,该反应的化学方程式为:________其中,阴极产物是________.
(3)
常温下,0.1 mol·L-1X溶液的pH________7(填“>”、“=”或“<”),原因是________(用离子方程式说明).
(4)
已知Kap[Al(OH)3]=1.3×10-33 mol4·L-4,Kap[Fe(OH)3]=4.0×10-38 mol4·L一4.现向pH=0,浓度均为0.04 mol·L-1的Al3+、Fe3+溶液中加入A的最高价氧化物对应水化物的溶液,以调节pH(设溶液体积不变),该过程中Al3+、Fe3+的浓度与pH关系正确的是
A.
B.
C.
D.
下图中的甲、乙、丙和丁分别代表一种反应物或生成物,相互转化关系中部分反应条件略.请根据题目要求回答下列问题.
(1)若甲和乙均为含有10个电子的带电粒子,丙和丁均为含有10个电子的分子,写出甲和乙共热时的离子方程式________;
若将丙溶入丁物质中,应选择的吸收装置为________.(填序号).
(2)若甲和乙均为含有18个电子的共价化合物,丁为黄色固体,则甲的电子式为________.
(3)若甲是含有10个电子的化合物,乙是含有18个电子的单质分子,写出甲和乙反应的化学方程式________;当乙发生反应时,转移0.1 mol电子,则标况下有________L单质气体乙参加反应.
(4)若甲、乙中均含有常见金属元素,甲为单质,乙中两元素原子的质量比为21∶8,则甲、乙发生反应的化学方程式为________.
(5)若甲和丁为非金属单质,乙和丙为非金属氧化物,则甲和丁可能为________、________(列出常见的两组的名称).
一种用于治疗高血脂的新药灭脂灵(Hepronicate)是按如下路线合成的:
已知:(1)RCHOHCHCHO
(2)RCHO
其中G的分子式为C10H22O3,试回答:
(1)写出结构简式:B________ E________;
(2)上述反应中属于取代反应的是________(填序号);
(3)写出反应方程式:
Ⅰ、反应②________
Ⅱ、反应⑤________
Ⅲ、F与银氨溶液反应:________
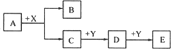
A、B、C、D、E、X、Y为中学常见的七种物质,它们有如下转化关系(部分产物与反应条件略去):
(1)若A为金属单质,B为氢气,X为盐酸,Y为强碱溶.则A物质的名称是________;D与Y反应的离子方程式为________;
(2)若A、C为同主族元素组成的单质,通常状况下,A为气体,C为液体,Y为金属单质.则A→C的反应类型是________;将X通入A的溶液中,可观察到的现象是________;C→D的化学反应方程式为________.
(3)若A、C为为短周期不同主族元素组成的单质,通常状况下,A、C均为固体,X、Y为气体.则A→C的反应方程式是________;该反应发生时盛有X的装置________(填是、否)需要做什么处理中,如需要怎么处理________(如不需要此问不需作答).为什么:________.
钢铁工业是国家工业的基础.请回答钢铁冶炼、腐蚀、防护过程中的有关问题.
工业用热还原法炼铁,写出由CO还原赤铁矿(主要成分为Fe2O3)的化学方程式:________.
铁在潮湿的空气中容易被腐蚀为铁锈(Fe2O3·x H2O),反应的化学方程式为:________.
生产中可用盐酸来除铁锈.现将一生锈的铁片放入盐酸中,当铁锈被除尽后,溶液中发生的化合反应的化学方程式________.
下列哪个装置可防止铁棒被腐蚀
(5)
在实际生产中,可在铁件的表面镀铜防止铁被腐蚀.装置示意图如下:
①A电极对应的金属是________(写元素名称),B电极的电极反应式是________.
②若电镀前铁、铜两电极的质量相同,电镀完成后将它们取出洗净、烘干、称量,二者质量差为5.12 g,则电镀时电路中通过的电子为________mol.
③镀层破损后,镀铜铁比镀锌铁更容易被腐蚀,请简要说明原因
________________.
铜既能与稀硝酸反应,也能与浓硝酸反应,当铜与一定浓度硝酸反应时,可将方程式表示为:Cu+HNO3Cu(NO3)2+NO↑+NO2↑+H2O.
(1)硝酸在该反应中的作用是________,该反应的还原产物是________.
(2)1.2 mol Cu被硝酸完全溶解后,Cu失去的电子数是________,如果得到的NO和NO2物质的量相同,则参加反应的硝酸的物质的量是________,若用排水法收集这些气体,可得标准状况下的气体体积________.
(3)如果参加反应的Cu和HNO3的物质的量之比是3∶10,写出已配平的该反应的离子方程式:________.
下图是一些常见物质的转化关系,其中
请根据上图,回答下列有关问题:
(1)红棕色粉末A和气体C、E的化学式分别为:A________、C________、E:________.
(2)G转化为H和A的反应类型是________反应;B转化成E和D的反应类型是________反应.
(3)①A与盐酸反应的化学方程式为:________;
②D和氯气化合生成F的化学方程式为:________.
(4)以上图中无色气体C为中心,延展如下图:
①请写出实现这两个转化的另一反应物J、K的化学式:J________、K________.
②请完善由CO和CaCO3分别转变成无色气体C的转化关系图,在箭号上注明必要的反应条件和其它反应物.
X、Y、Z、L、M、N六种元素的原子序数依次增大.X、Y、Z、L是组成蛋白质的基础元素,M是地壳中含量最高的金属元素.回答下列问题:
(1)L的原子结构示意图为________;M在元素周期表中的位置为________;前五种元素的原子半径从大到小的顺序是________(用元素符号表示).Z、L两元素的第一电离能大小关系为:________>________(填写元素符号),原因是________.
(2)Z、X两元素按原子数目比1∶3和2∶4构成分子A和B,A的分子构型为________,B的结构式为________.
(3)N是人体必需的微量元素,与L同一主族,N原子比L原子多两个电子层,则N的电子排布式为________,其最高价氧化物对应的水化物化学式为________.该族2~5周期元素单质分别与H2反应生成1 mol气态氢化物的反应热如下,表示生成1 mol H2N反应热的是________(填字母代号).
A.+99.7 mol·L-1
B.+29.7 mol·L-1
C.-20.6 mol·L-1
D.-241.8 kJ·mol-1
(4)用M单质作阳极,石墨作阴极,NaHCO3溶液作电解液进行电解,生成难溶物R,R受热分解生成化合物Q.写出阳极生成R的电极反应式:________;由R生成Q的化学方程式:________.
反应①②是重要的化工反应,D、E、F、G为单质,D、E、G、H为气体,且只有E为有色气体,F是常见的金属单质,G是空气中主要成分之一,K是白色胶状沉淀,C的焰色反应为黄色,其物质间的转化关系如下,虚框内是需设计的内容,反应物只能用A~J中的物质:
(1)A的电子式________,H的结构式是________;
(2)A溶液的电解方程式是________;
C+B→J的离子方程式是________;
(3)请设计F→K的最佳途径
(4)按设计得到1 mol K,电解B时转移的电子数目是________,至少需要另加试剂的物质的量是________:________mol,________:________mol,________:________mol(可不填满).
已知A、B均是由两种元素组成的化合物,A中某种元素的质量分数为75%,B是一种淡黄色固体,C、J是同周期元素的气态氢化物,其中C是含氢量最高的烃,X为无色液体.反应生成的水均已略去.它们有如下图所示的关系.
(1)写出化学式:A________ B________ J________.
(2)反应③中每生成1 mol F,转移电子的数目为:________.
(3)反应④的化学方程式为:________.
(4)写出离子方程式分别为:反应②________;⑤________.
(5)反应①中,每1.00 g C与足量的F作用,恢复到25℃放出55.6 kJ热量,写出反应①的热化学方程式 ________.