莽草酸的结构式如下图:
请回答:(1)写出莽草酸分子中官能团名称________.
(2)该有机物分子1 moL最多能和________moL NaOH发生反应.
以下是以莽草酸A为原料的有机合成路线:
已知D的碳环上一氯代物只有两种.请继续回答下列问题:
(3)C有三种同分异构体,写出其中的一种结构简式________.
(4)莽草酸A→D的反应类型是:________.
(5)写出下列反应的化学方程式:
①D与足量的NaHCO3溶液反应________;
②D→E________.
根据下列的有机物合成路线回答问题:
(1)写出A、B的结构简式:A________、B________.
(2)写出各步反应类型:
①________、②________、③________.
(3)写出②、③的反应方程式:
②________,
③________.
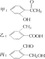
今有化合物:
(1)请判别上述哪些化合物互为同分异构体:________.
(2)请分别写出鉴别甲、乙的方法.(指明所选试剂及主要现象即可)
鉴别甲的方法:________;
鉴别乙的方法:________;
(3)鉴别丙的方法可以让其与银氨溶液反应,请写出该反应的化学方程式:________.
(4)请按酸性由强至弱排列甲、乙、丙的顺序:________.
混合物平均摩尔质量通常可表示为:,利用此概念可以讨论许多化学问题:
(1)
相同条件下,潮湿空气的密度________(选填“>”、“<”或“=”)干燥空气的密度.
(2)
在一定条件下的恒容密闭容器中,建立如下平衡:5O2(g)+4NH3(g)4NO(g)+6H2O(g);假如温度保持不变并充入He,则平衡________(填“正向移动”、“逆向移动”、“不移动”),(混合气)将________(填写“变大”、“变小”或“不变”);
(3)
在一定温度下恒容密闭容器中,当下列物理量不再变化时,不能表明反应:A(s)+2B(g)C(g)+D(g)已达平衡的是
A.
混合气体的平均相对分子质量
B.
混合气体的密度
C.
B的物质的量浓度
D.
气体的总物质的量
已知:当羟基与双键碳原子相连时,易发生如下转化:
化学式为C9H10O2的有机物A有如下的转化关系
其中F与FeCl3溶液能发生显色反应,在G→H的反应中,有机物H只有一种结构且能使溴水褪色.试回答下列问题:
(1)写出有机物的结构简式:F________、H________、B________.
(2)写出A→E+D的化学方程式:________.
(3)写出C→D的化学方程式:________.
A、B、C、D是四种短周期元素,它们的原子序数依次增大.其中A、D元素同主族,B、C元素同周期,由A、B、C、D中的两种元素可形成原子个数比为1∶1的多种化合物,甲、乙、丙、丁为其中的四种,它们的元素组成如下表所示:
通常状况下,甲物质为气体,密度略小于空气;乙物质为液体;丙物质和丁物质为固体且都为离子化合物.请填写下列空白:
(1)甲物质的结构式为________,丙物质的电子式为________,丁物质中阴离子与阳离子的个数比为________.
(2)若标准状况下5.6 L甲气体完全燃烧生成稳定氧化物时放出的热量为325 kJ,试写出表示甲物质燃烧热的热化学方程式________.
(3)研究表明乙物质具有弱酸性,则乙物质在水中的电离方程式为________.
下表列出了前20号元素中的某些元素性质的有关数据:
试回答下列问题:
(1)以上10种元素的原子中,失去核外第一个电子所需能量最少的是________(填写编号).
(2)上述⑤、⑥、⑦三种元素中的某两种元素形成的化合物中,每个原子都满足最外层为8电子稳定结构的物质可能是________(写分子式).某元素R的原子半径为1.02×10-10 m,该元素在周期表中位于________;若物质Na2R3是一种含有非极性共价键的离子化合物,请你写出该化合物的电子式________.
(3)元素⑤的某种单质具有平面层状结构,同一层中的原子构成许许多多的正六边形,此单质与熔融的②单质相互作用,形成某种青铜色的物质(其中的元素②用“●”表示),原子分布如图所示,该物质的化学式为________.
A、B、C、D、E、F为六种短周期主族元素,它们核电荷数依次递增,且知:B原子核外最外层电子数是次外层电子数的两倍,电子总数是E原子总数的1/2,F是同周期元素中原子半径最小的元素;D2-与E2+的电子层结构相同.B与D可以形成三原子化合物甲;A是非金属元素且A、C、F可形成离子化合物乙.请回答
(1)F元素的名称是________,C单质的电子式是________,E元素的符号是________.
(2)化合物乙中含有的三种化学键是________键、________键和________键.
(3)化合物甲处于晶体时属于________晶体,E单质在一定条件下与甲反应的化学方程式________.
目前世界上60%的镁是从海水提取的.海水提镁的主要流程如下:
请回答下列问题:
(1)从离子反应的角度思考,在海水中加入石灰乳的作用是________,写出在沉淀池的离子方程式________.
(2)石灰乳是生石灰与水形成的化合物,从充分利用海洋化学资源,提高经济效益的角度,生产生石灰的主要原料来源于海洋中的________.
(3)操作A是________,操作B是________.
(4)加入的足量试剂a是________(填化学式).
(5)无水MgCl2在熔融状态下,通电后会产生Mg和Cl2,该反应的化学方程式为________.从考虑成本和废物循环利用的角度,副产物氯气可以用于________.
(6)海水提镁的过程,为什么要将海水中的氯化镁转变为氢氧化镁,再转变为氯化镁?
________.
(7)有同学认为:可直接加热Mg(OH)2得到MgO,再电解熔融MgO制金属镁,这样可简化实验步骤,体现实验的简约性原则.你________(填“同意”或“不同意”)该同学的想法,理由是________.
已知A是一种分子量为28的气态烃,能发生以下转化:
(1)写出B、D化合物中官能团:
B中含官能团________(写名称);
D中含官能团________(写结构简式);
(2)写出反应的化学方程式
①________ 反应类型:________
②________ 反应类型:________
③________ 反应类型:________