水杨酸的结构如下:,它与乙醇、浓硫酸共热发生酯化反应来制取冬青油.
(1)冬青油的结构简式是________,名称是________.
(2)水杨酸(常温下固体)较难溶于水而易溶于冬青油的油层中,使产物不纯,为此,最好加入:
①NaOH溶液;
②碳酸氢钠溶液;
③稀硫酸________(填序号)进行洗涤,以除去水杨酸.
(3)在洗涤后的水溶液中回收水杨酸,可以加入________(填试剂名称),然后________(填实验操作名称).
具有支链的化合物A的分子式为C4H6O2,A可以使Br2的四氯化碳溶液褪色.1 mol A和1 mol NaHCO3能完全反应产生气体,则A的结构简式是________,写出与A具有相同官能团的A的所有同分异构体的结构简式________.
用质量分数为37. 5%的浓盐酸( 密度为1. 16 g/cm3) 配制成1 mol/L的稀盐酸.现实验室仅需要这种盐酸220 mL.试回答下列问题:
( 1) 配制稀盐酸时,应选用容量为________mL的容量瓶;
(2)经计算需要________mL浓盐酸,在量取时宜选用下列量筒中的________.
A.5 mL
B.10 mL
C.25 mL
D.50 mL
(3)在量取浓盐酸后,进行了下列操作:
①等稀释的盐酸其温度与室温一致后,沿玻璃棒注入250 mL容量瓶中.
②往容量瓶中小心加蒸馏水至液面接近环形标线2~3 cm处,改用胶头滴管加蒸馏水,使溶液的凹面底部与瓶颈的环形标线相切.
③在盛盐酸的烧杯中注入蒸馏水几十毫升,并用玻璃棒搅动,使其混合均匀.
④用蒸馏水洗涤烧杯和玻璃棒2至3次,并将洗涤液全部注入容量瓶.
上述操作中,正确的顺序是(填序号)________.
(4)在上述配制过程中,用刚刚洗涤洁净的量筒来量取浓盐酸,其配制的稀盐酸浓度是________(填“偏高”、“偏低”、“无影响”).若未用蒸馏水洗涤烧杯内壁或未将洗涤液注入容量瓶,则配制的稀盐酸浓度是________(填“偏高”、“偏低”、“无影响”).
现有A、B、C、D、E、F六种物质或粒子,其中A、B、C、D都具有如图所示的结构或结构单元,(图中正四面体以外可能有的部分未画出,虚线不表示化学键或分子间作用力,X、Y可以相同也可以不同).A、B的晶体类型相同.单质A的同素异形体能与B物质发生置换反应.C、D、E、F含有相等的电子数,且D是阳离子,D与F的组成元素相同.C、E、F的晶体类型相同,由E构成的物质常温下呈液态.请回答下列问题:
(1)写出单质A的同素异形体与B物质发生置换反应的化学方程式________;同主族的第四周期元素基态原子的外围电子排布式为________.
(2)上述六种物质或粒子的组成元素中有三种处于同一周期,请写出这三种元素第一电离能由大到小的顺序:________.
(3)上述六种物质或粒子中互为等电子体的是________(写出化学式).
(4)F分子的中心原子杂化类型是________,F易溶于E,其原因是________.
键能的大小可以衡量化学键的强弱,也可以用于估算化学反应的反应热(ΔH),化学反应的ΔH等于反应中断裂旧化学键的键能之和与反应中形成新化学键的键能之和的差.参考以下表格的键能数据,回答下列问题:
(1)比较下列两组物质的熔点高低(填“>”或“<”)
SiC________Si;SiCl4________SiO2
(2)能不能根据键能的数据判断单质Si和化合物SiCl4的熔点高低?________(填“能”或“不能”),原因是________.
(3)如图立方体中心的“·”表示金刚石晶体中的一个原子,请在立方体的顶点用“·”表示出与之紧邻的碳原子.
(4)工业上高纯硅可通过下列反应制取:SiCl4(g)+2H2(g)Si(s)+4HCl(g)计算该反应的反应热ΔH为________.
推断下列化合物的化学式:
(1)X、Y两元素能形成XY2型化合物,XY2中共有38个电子,若XY2是离子化合物,其化学式是________;若XY2是共价化合物其化学式是________.
(2)第三周期内,X、Y两元素的原子序数之差为4,它们组成的XY型化合物,其化学式为________.
(3)1 mol某物质含有不同周期三种元素的原子各1 mol,其质子总数为20 mol,该物质的化学式为________.
(4)某非金属X的最高正价为+m,它的最高价氧化物对应的水化物中有b个氧原子,则这种酸的化学式是________.
(5)X元素的最高正价和负价绝对值之差为6,Y元素和X元素原子的次外电子层上都有8个电子,X和Y形成的化合物在水溶液中能电离出电子层结构相同的离子,则该化合物是________.
根据已学知识,请你回答下列问题:
(1)写出原子序数最小的第Ⅷ族元素原子的原子结构示意图为:________.
(2)写出3p轨道上有2个未成对电子的元素的符号:________.
(3)某元素被科学家称之为人体微量元素中的“防癌之王”,其原子的外围电子排布是4s24p4,该元素的名称是________.
(4)根据VSEPR模型,H3O+的分子立体结构为:________,SO2的立体结构为:________.
(5)金属铁的晶体在不同温度下有两种堆积方式,晶胞分别如图所示.则体心立方晶胞和面心立方晶胞中实际含有的Fe原子个数之比为________;若两种晶体中最邻近的铁原子间距离相同,则体心立方晶胞和面心立方晶胞的密度之比为________.
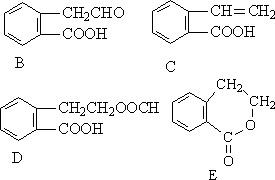
有机物A的结构简式为,它可通过不同化学反应分别制得B、C、D和E四种物质.
请回答下列问题:
(1)在A~E五种物质中,互为同分异构体的是________(填代号).
(2)写出由A生成B的化学方程式________.
由A生成C的反应类型为________.
(3)已知HCHO分子中所有原子都在同一平面内,则在上述分子中所有的原子有可能都在同一平面的物质是________(填序号).
(4)C能形成高聚物,该高聚物的结构简式为________.
(5)写出一种区分D和E的试剂________.
某有机物X的化学式C12H16O3N2,某同学经过化学分析和仪器分析测定其结构,其过程如下:
(1)
经实验,X既能与盐酸反应又能与氢氧化钠溶液反应.则X一定不可能属于的物质别________.
A.
蛋白质
B.
氨基酸
C.
肽
D.
硝基化合物
(2)
光谱分析,X分子中含有一个苯环、一个、一个、一个,还有一个显碱性、一个显酸性的官能团.将该物质在一定条件下水解,能得到两种α-取代羧酸.其中一种的结构简式为:,另一种水解产物结构简式为:________;
(3)
与CH3OH在一定条件下生成的酯是一种有用的合成中间体,利用该酯可与一种醇X发生取代反应,生成一种新的酯()和CH3OH,则醇X的结构简式为________.
已知:当羟基与双键碳原子相连时,易发生如下转化:
化学式为C9H10O2的有机物A有如下的转化关系
其中F与FeCl3溶液能发生显色反应,在G→H的反应中,有机物H只有一种结构且能使溴水褪色.试回答下列问题:
(1)写出有机物的结构简式:F________、H________、B________.
(2)写出A→E+D的化学方程式:________.
(3)写出C→D的化学方程式:________.