有A、B两种常温下有刺激性气味的气体,将A(g)通入品红溶液中,品红溶液变为无色;将B(g)通入品红溶液中,品红溶液也变为无色;将A(g)和B(g)按1∶1的体积比混合充分,通入品红溶液中,品红溶液不褪色.只将A(g)通入紫色石蕊试液中,溶液只变红不褪色.试回答下列问题:
(1)写出A、B的化学式:________、________
(2)写出A和NaOH溶液反应的化学方程式:________;
(3)写出B与NaOH溶液反应的离子方程式:________;
(4)加热通入A后变为无色的品红溶液,现象是________;加热通入B后变为无色的品红溶液,现象是________.
将
其物质的量是________
被还原的硝酸的质量是________
如下图所示,
(1)
(2)
(3)
(4)若要制得干燥的氨气,可选用下列干燥剂中的
a
已知
(
①
②
③
有一瓶澄清的溶液
根据上述实验事实确定并回答:在溶液中肯定存在的离子有________,肯定不存在的离子有________,还不能确定是否存在的离子有
汽车尾气(含有烃类、
写出一氧化碳与一氧化氮反应的化学方程式:________.
“
A.
CO
B.
SO2
C.
NO
开发氢能源
使用电动汽车
植树造林
D.
戴上呼吸面具
三聚氰胺
已知:①尿素的熔点是132.7℃,常压下超过160℃即可分解;
②三聚氰胺的熔点是354℃,加热易升华,微溶于水;
③以尿素为原料生产三聚氰胺的原理是:6CO(NH2)2C3N6H6+6NH3+3CO2
请回答:
(1)尿素是一种常用含氮量最高的化肥,其氮元素的质量百分数为________,在实验室使其熔化的容器名称叫________.工业上合成尿素的化学反应方程式为________(反应条件可以不写)
(2)写出各主要成份的化学式:产品1________、产品2________、X________;
(3)联氨系统沉淀池中发生的化学反应方程式为:________;
(4)若生产过程中有4%的尿素损耗,每吨尿素可生产三聚氰胺________吨,副产品纯碱________吨.
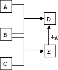
已知A、B、C、D、E均为中学化学中常见物质,在一定条件下相互转化关系如下图所示(反应条件和部分产物已省略).请回答:
(1)若A为具有可变价态的金属元素的单质,B、C为非金属单质,且常温下B、C均为无色气体,D为黑色有磁性的固体,则B的化学式为________,A与E在一定条件下反应生成D的化学方程式为________.
(2)若A为非金属单质,且常温下为黄绿色气体,B为金属单质,C为酸,且C的组成中含有与A相同的元素.则C的化学式为________;将少量单质A通入盛有淀粉KI溶液的试管中,液体变为蓝色,该反应的离子方程式为________;这说明单质A的氧化性________于单质碘(填“强”或“弱”);A与E在一定条件下反应生成D的离子方程式为________;向E溶液中滴入NaOH溶液时,生成的灰白色沉淀迅速变成灰绿色,最后变成红褐色,写出沉淀由灰白色变成红褐色过程中发生化学反应的方程式:________.
关注饮用水,保证人民的生活质量.回答下列两个问题:
(1)饮用水中的NO对人类健康会产生危害,为了降低饮用水中NO的浓度,可以在碱性条件下用铝粉将NO还原为N2,其化学方程式为:
10Al+6NaNO3+4NaOH10NaAlO2+3N2↑+2H2O
①上述反应中的氧化产物为________.
②上述反应中若生成标况下11.2 L
(2)洪灾过后,饮用水的
②漂白粉的有效成分是(填化学式)________.
③漂白粉溶于水后,受空气中的CO2作用,即产生有漂白、杀菌作用的次氯酸,离子方程式为________.
有一包白色固体,可能是NaCl、K2CO3、K2SO4
①将部分沉淀移入试管中,加入稀硝酸,沉淀溶解完全,且有气体生成.
②在滤液中滴入几滴AgNO3溶液,有白色沉淀生成,再加入稀硝酸,沉淀不溶解.
通过上述实验现象分析:
该白色固体中一定含有的物质为________,不可能含有的物质为________,不能确定的物质是________,为了确定该物质是否存在,可以通过________实验确定.