题目内容

设X、Y、Z代表三种元素.已知:

①X+和Y两种离子具有相同的电子层结构;

②Z元素原子核内质子数比Y元素原子核内质子数少9个;

③Y和Z两种元素可以形成4核42个电子的负一价阴离子.

据此,填空:

(1)Y元素是________,Z元素是________;

(2)由X、Y、Z三种元素所形成的含68个电子的盐类化合物的化学式是________.

答案:
解析:

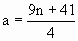
解:依题意,设元素Y的原子序数为a,则元素Z为(a-9)

解:依题意,设元素Y的原子序数为a,则元素Z为(a-9).若以表示由这两种元素所形成的4核42个电子的负一价离子,则有下列关系:

  

∵n为整数,经验证n=3,a=17

∴元素Y为17Cl,Z为8O,X为19K.

答案:(1)Cl,O;(2)KClO4


练习册系列答案
相关题目

违法和不良信息举报电话:027-86699610 举报邮箱:58377363@163.com

精英家教网