题目内容
α-松油醇可经以下路线合成,小方框中的每一字母各代表一种有机物:
![]()
可供选择的试剂:①Br2 ②H2 ③O2
![]()
请回答下列问题:
(1)试剂1是________,试剂2是________.
(2)A至H中,能发生银镜反应的是________.
(3)G和H的结构简式分别是:G________;H________.
(4)E转化为F的反应方程式是________.
解析:
|
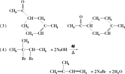
答案: (1)O2 Br2 (2)CH3CHO 解析:根据信息可知A中含碳氧双键,所以是乙醇氧化后得到的产物,而E可以与氢氧化钠醇溶液反应,应为卤代烃,所以试剂2为Br2,A到H中A为CH3CHO可以发生银镜反应.而G、H都是由同样的双烯加成得到,不同的是,加成的方向不同,一个是取代基在左边,一个是取代基在右边,所以G为 |
![]()
可供选择的试剂:①Br2 ②H2 ③O2 |
提示:
|
请完成下列问题:
(1)试剂1是________,试剂2是________。
(2)A至H中,能发生银镜反应的是___________________________。
(3)G和H的结构简式分别是:G________;H_________。
(4)E转化为F的反应方程式是_______________________________。
![]()
可供选择的试剂:①Br2 ②H2 ③O2
|
请回答下列问题:
(1)试剂1是___________,试剂2是___________。
(2)A至H中,能发生银镜反应的是_____________________________。
(3)G和H的结构简式分别是:G__________________;H__________________。
(4)E转化为F的反应方程式是__________________________________________。
α-松油醇可经以下路线合成,小方框中的每一字母各代表一种有机物:
![]()
| 可供选择的试剂:①Br2 ②H2 ③O2
|
请回答下列问题:
(1)试剂1是___________,试剂2是___________。
(2)A至H中,能发生银镜反应的是_____________________________。
(3)G和H的结构简式分别是:G__________________;H__________________。
(4)E转化为F的反应方程式是__________________________________________。