题目内容

在25℃时,若10体积的某强酸溶液与1体积某强碱溶液混合后溶液呈中性,则混合之前,该强酸的pH值与强碱的pH值之间应满足的关系是________

答案:
解析:

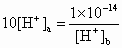
  从10体积强酸与1体积强碱溶液混合时得到中性溶液,可以写出如下关系:

  再把强碱溶液中的改写为

将上式两端取负对数,得出强酸溶液与强碱溶液的pH值的关系式:


提示:

本题以不同体积的强酸溶液与强碱溶液混合后呈中性,做为起始条件设问,逆推至两种原溶液pH值之间的关系,试题构思巧妙灵活,有一定难度.若能从设定的强酸、强碱溶液以10∶1体积比混合后,得到中性溶液,从具体到抽象,也可得到同样的结论.


练习册系列答案
相关题目

(Ⅰ)(6分)现有下列物质: ①NaCl晶体 ②液态SO2 ③纯醋酸 ④硫酸钡 ⑤铜  ⑥酒精(C2H5OH) ⑦熔化的KCl ⑧NaOH溶液 

 请用以上物质回答下列问题。(填序号)

(1)在上述状态下能导电的物质是                    

(2)属于弱电解质的是                 

(3)属于非电解质,但溶于水后的水溶液能导电的是            

(Ⅱ)(4分)

某化学实验小组探究市售食用白醋中醋酸的的准确浓度,取25.00mL某品牌食用白

醋于锥形瓶中,在实验室用浓度为cb mol/L的标准NaOH溶液对其进行滴定。

(1)左图表示50mL滴定管中液面的位置,若A与C刻度间相差l mL,  

A处的刻度为25,滴定管中液面读数应为     mL。

(2)为了减小实验误差,该同学一共进行了三次实验,假设每次

    所取白醋体积均为VmL,NaOH标准液浓度为c mo1/L,三次实

    验结果记录如下:  

实验次数

第一次

第二次

第三次

消耗NaOH溶液体积/mL

26.02

25.35

25.30

从上表可以看出,第一次实验中记录消耗NaOH溶液的体积明显多于后两次,

其原因可能是        

A.滴定前滴定管尖嘴有气泡,滴定结束无气泡

B.盛装标准液的滴定管装液前用蒸馏水润洗过,未用标准液润洗

C.第一次滴定用的锥形瓶未润洗

D.滴定结束时,俯视读数

(3)根据所给数据,写出计算该白醋中醋酸的物质的量浓度的表达式(不必化简):

c             

(Ⅲ)(15分)

已知:在25时H2OH++OH- KW=10-14  CH3COOH H++ CH3COO Ka=1.8×10-5

(1)取适量醋酸溶液,加入少量醋酸钠固体,此时溶液中C(H+)与C(CH3COOH)

的比值      (填“增大”或“减小”或“不变”)

(2)醋酸钠水解的离子方程式为         。当升高温度时,C(OH)将    

(填“增大”“减小”“不变”);

(3)0.5mol·L-1醋酸钠溶液pH为m,其水解的程度(已水解的醋酸钠与原有醋酸钠

的比值)为a;1mol·L-1醋酸钠溶液pH为n,水解的程度为b,则m与n的关系

          ,a与b的关系为     (填“大于”“小于”“等于”);

(4)将等体积等浓度的醋酸和氢氧化钠溶液混合后,所得溶液中离子浓度由大到小的顺序是                  

(5)若醋酸和氢氧化钠溶液混合后pH<7,则c(Na+)_______________ c(CH3COO)(填“大于”、“小于”或“等于”),

(6)若由pH=3的HA溶液V1mL与pH=11的NaOH{溶液V2 mL。混合而得,则下列说法不正确的是____________。

A.若反应后溶液呈中性,则c(H+)+c(OH)=2×10-7mol·L-1

B.若V1=V2,反应后溶液pH一定等于7

C.若反应后溶液呈酸性,则V1一定大于V2

D.若反应后溶液呈碱性,则V1一定小于V2

(7)在某溶液中含Mg2+、Cd2+、Zn2+三种离子的浓度均为0.01mol·L-1。向其中加入固

体醋酸钠后测得溶液的C(OH-)为2.2×10-5mol·L-1,以上三种金属离子中

                能生成沉淀,原因是                                

(KSP[Mg(OH)2]=1.8×10-11、KSP[Zn(OH)2]=1.2×10-17、KSP[Cd(OH)2]=2.5×10-14

(8)取10mL0.5mol·L-1盐酸溶液,加水稀释到500mL,则该溶液中由水电离出的c(H+

 =        

 

 选做题

本题有A、B两题,分别对应于“物质结构与性质”和“实验化学”两个选修课程模块的内容,每题12分。请选择其中一题作答,若两题都作答,则以A题得分计入总分。

20A.过渡元素在生活、生产和科技等方面有广泛的用途。

  (1)应用于合成氨反应的催化剂(铁)的表面上存在氮原子,右图为氮原子在铁的晶面上的单层附着局部示意图(图中小黑色球代表氮原子,灰色球代表铁原子)。则图示铁颗粒表面上氮原子与铁原子的个数比为      

 

 

 

 

 

  (2)现代污水处理工艺中常利用聚合铁{简称PFS,化学式为:[Fe2(OH)n(SO43-n/2]m,n<5,m<10}在水体中形成絮状物,以吸附重金属离子。下列说法中不正确的是     。(填序号)  

    A.PFS中铁显+3价          

    B.铁原子的价电子排布式是3d64s2

    C.由FeSO4溶液制PFS需经过氧化、水解和聚合的过程

    D.由下表可知气态Fe2+再失去一个电子比气态Mn2+再失去一个电子难

元素

Mn

Fe

电离能

(kJ・mol1

I1

717

759

I2

1509

1561

I3

3248

2957

 

 

 

 

 

  (3)铬的配合物在药物应用、设计合成新磁材料领域和聚乙烯催化剂方面都有重要应用。现有铬(Ⅲ)与甲基丙烯酸根的配合物为:

 

①该化合物中存在的化学键类型有                                    

②该化合物中一个Cr的配位数为      

③甲基丙烯酸分子中C原子的杂化方式有              

④等电子体是具有相同的价电子数和原子数的分子或离子,与H2O分子互为等电子体的微粒是    。(填一种即可)

⑤与铬同周期的所有元素中基态原子最外层电子数与铬原子相同的元素是

____  。(填元素符号)


20B.阿斯匹林(乙酰水杨酸)是由水杨酸和乙酸酐合成的:

在生成乙酰水杨酸的同时,水杨酸分子之间也能发生聚合反应,生成少量聚合物(副产物)。合成乙酰水杨酸的实验步骤如下:

 

①向150mL干燥锥形瓶中加入2 g水杨酸、5 mL乙酸酐和5滴浓硫酸,振荡,待其溶解后,控制温度在85℃~90℃条件下反应5~10 min,然后冷却,即有乙酰水杨酸晶体析出。

②减压过滤,用滤液淋洗锥形瓶,直至所有晶体收集到布氏漏斗中。抽滤时用少量冷水洗涤晶体几次,继续抽滤,尽量将溶剂抽干。然后将粗产品转移至表面皿上,在空气中风干。

③将粗产品置于100 mL烧杯中,搅拌并缓慢加入25 mL饱和碳酸氢钠溶液,加完后继续搅拌2~3 min,直到没有二氧化碳气体产生为止。过滤,用5~10 mL蒸馏水洗涤沉淀。合并滤液于烧杯中,不断搅拌,慢慢加入15 mL 4mol / L盐酸,将烧杯置于冰水中冷却,即有晶体析出。抽滤,用冷水洗涤晶体1~2次,再抽干水分,即得产品。

  (1)第①步中,要控制温度在85℃~90℃,应采用的加热方法是   ,用这种方法加热需要的玻璃仪器有    

  (2)在第②步中,用冷水洗涤晶体,其目的是       

  (3)在第③步中,加入饱和碳酸氢钠溶液的作用是    ,加入盐酸的作用是   

  (4)如何检验产品中是否混有水杨酸?      

 

 

 

 

 

 

 

 

 

 

 

 

 

 

 

 

 

 

 

 

 

 

 

 

 

 选做题

本题有A、B两题,分别对应于“物质结构与性质”和“实验化学”两个选修课程模块的内容,每题12分。请选择其中一题作答,若两题都作答,则以A题得分计入总分。

20A.过渡元素在生活、生产和科技等方面有广泛的用途。

   (1)应用于合成氨反应的催化剂(铁)的表面上存在氮原子,右图为氮原子在铁的晶面上的单层附着局部示意图(图中小黑色球代表氮原子,灰色球代表铁原子)。则图示铁颗粒表面上氮原子与铁原子的个数比为      

 

 

 

 

 

   (2)现代污水处理工艺中常利用聚合铁{简称PFS,化学式为:[Fe2(OH)n(SO43-n/2]m,n<5,m<10}在水体中形成絮状物,以吸附重金属离子。下列说法中不正确的是     。(填序号)  

    A.PFS中铁显+3价          

    B.铁原子的价电子排布式是3d64s2

    C.由FeSO4溶液制PFS需经过氧化、水解和聚合的过程

    D.由下表可知气态Fe2+再失去一个电子比气态Mn2+再失去一个电子难

元素

Mn

Fe

电离能

(kJ・mol1

I1

717

759

I2

1509

1561

I3

3248

2957

 

 

 

 

 

   (3)铬的配合物在药物应用、设计合成新磁材料领域和聚乙烯催化剂方面都有重要应用。现有铬(Ⅲ)与甲基丙烯酸根的配合物为:

 

①该化合物中存在的化学键类型有                                    

②该化合物中一个Cr的配位数为      

③甲基丙烯酸分子中C原子的杂化方式有              

④等电子体是具有相同的价电子数和原子数的分子或离子,与H2O分子互为等电子体的微粒是    。(填一种即可)

⑤与铬同周期的所有元素中基态原子最外层电子数与铬原子相同的元素是

____   。(填元素符号)


20B.阿斯匹林(乙酰水杨酸)是由水杨酸和乙酸酐合成的:

在生成乙酰水杨酸的同时,水杨酸分子之间也能发生聚合反应,生成少量聚合物(副产物)。合成乙酰水杨酸的实验步骤如下:

 

①向150 mL干燥锥形瓶中加入2 g水杨酸、5 mL乙酸酐和5滴浓硫酸,振荡,待其溶解后,控制温度在85℃~90℃条件下反应5~10 min,然后冷却,即有乙酰水杨酸晶体析出。

②减压过滤,用滤液淋洗锥形瓶,直至所有晶体收集到布氏漏斗中。抽滤时用少量冷水洗涤晶体几次,继续抽滤,尽量将溶剂抽干。然后将粗产品转移至表面皿上,在空气中风干。

③将粗产品置于100 mL烧杯中,搅拌并缓慢加入25 mL饱和碳酸氢钠溶液,加完后继续搅拌2~3 min,直到没有二氧化碳气体产生为止。过滤,用5~10 mL蒸馏水洗涤沉淀。合并滤液于烧杯中,不断搅拌,慢慢加入15 mL 4mol / L盐酸,将烧杯置于冰水中冷却,即有晶体析出。抽滤,用冷水洗涤晶体1~2次,再抽干水分,即得产品。

   (1)第①步中,要控制温度在85℃~90℃,应采用的加热方法是    ,用这种方法加热需要的玻璃仪器有    

   (2)在第②步中,用冷水洗涤晶体,其目的是       

   (3)在第③步中,加入饱和碳酸氢钠溶液的作用是     ,加入盐酸的作用是   

   (4)如何检验产品中是否混有水杨酸?      

 

 

 

 

 

 

 

 

 

 

 

 

 

 

 

 

 

 

 

 

 

 

 

 

 

违法和不良信息举报电话:027-86699610 举报邮箱:58377363@163.com

精英家教网