题目内容

某烃A,相对分子质量为140,其中碳的质量分数为0.857A分子中有两个碳原子不与氢直接相连。A在一定条件下氧化只生成CG能使石蕊试液变红。已知:

试写出:

1A的分子式__________________

2)化合物AG的结构简式:A_____________G__________________

3)与G同类的同分异构体G)可能有___________种。

 

答案:
解析:

1C10H20

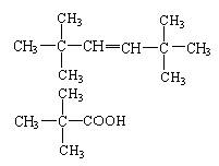
2

34

1C原子数:(140´0.857)/12=10H原子数:(140-12´10)/1=20

 


练习册系列答案
相关题目

违法和不良信息举报电话:027-86699610 举报邮箱:58377363@163.com

精英家教网