ÌâÄ¿ÄÚÈÝ

ÓлúÎïA(C6H8O4)ΪʳƷ°ü×°Ö½µÄ³£Ó÷À¸¯¼Á£®A¿ÉÒÔʹäåË®ÍÊÉ«£®AÄÑÈÜÓÚË®£¬µ«ÔÚËáÐÔÌõ¼þÏ¿ɷ¢ÉúË®½â·´Ó¦£¬µÃµ½B(C4H4O4)ºÍ¼×´¼£®Í¨³£Çé¿öÏÂBΪÎÞÉ«¾§Ì壬ÄÜÓëÇâÑõ»¯ÄÆÈÜÒº·¢Éú·´Ó¦£®

(1)A¿ÉÒÔ·¢ÉúµÄ·´Ó¦ÓÐ________(Ñ¡ÌîÐòºÅ)£®

¢Ù¼Ó³É·´Ó¦

¢Úõ¥»¯·´Ó¦

¢Û¼Ó¾Û·´Ó¦

¢ÜÑõ»¯·´Ó¦

(2)B·Ö×ÓËùº¬µÄ¹ÙÄÜÍŵÄÃû³ÆÊÇ________¡¢________£®

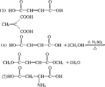
(3)B·Ö×ÓÖÐûÓÐÖ§Á´£¬Æä½á¹¹¼òʽÊÇ________£¬BµÄ¾ßÓÐÏàͬ¹ÙÄÜÍŵÄͬ·ÖÒì¹¹ÌåµÄ½á¹¹¼òʽÊÇ________£®

(4)ÓÉBÖÆÈ¡AµÄ»¯Ñ§·½³ÌʽÊÇ________£®

(5)ÌìÃŶ¬°±Ëá(C4H7NO4)ÊÇ×é³ÉÈËÌåµ°°×Öʵݱ»ùËáÖ®Ò»£¬¿ÉÓÉBͨ¹ýÒÔÏ·´Ó¦ÖÆÈ¡£º

ÌìÃŶ¬°±ËáµÄ½á¹¹¼òʽÊÇ________£®

´ð°¸£º
½âÎö£º

¡¡¡¡´ð°¸£º(1)¢Ù¢Û¢Ü

¡¡¡¡(2)̼̼˫¼ü¡¡ôÈ»ù

¡¡¡¡

¡¡¡¡½âÎö£º½â´ËÌâµÄ¹Ø¼üÊÇÍÆ³öA¡¢BµÄ½á¹¹£®³õ²½¿´³öAΪ²»±¥ºÍ¶þÔªõ¥£¬BΪ²»±¥ºÍ¶þÔªËᣮÓÉÓÚB·Ö×ÓÖÐÎÞÖ§Á´£¬¹ÊBΪHOOC£­CHCH£­COOH£¬ÔòAΪ£®È»ºó£¬¸ù¾ÝÌâÖеÄÒªÇ󻨴ð¸÷¸öÎÊÌ⣮


Á·Ï°²áϵÁдð°¸
Ïà¹ØÌâÄ¿

Î¥·¨ºÍ²»Á¼ÐÅÏ¢¾Ù±¨µç»°£º027-86699610 ¾Ù±¨ÓÊÏ䣺58377363@163.com

¾«Ó¢¼Ò½ÌÍø