题目内容

香豆素是广泛存在于植物中的一类芳香族化合物,大多具有光敏性,有的还具有抗菌和消炎作用.它的核心结构是芳香内酯A,其分子式为C9H6O2,该芳香内酯A经下列步骤转变为水杨酸和乙二酸.

①CH3CHCHCH2CH2CH3COOH+CH3CH2COOH

②R-CHCH2R-CH2-CH2-Br

请回答下列问题:

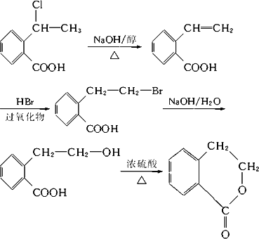
(1)写出化合物C的结构简式________.

(2)化合物D有多种同分异构体,其中一类同分异构体是苯的二取代物,且水解后生成的产物之一能发生银镜反应.这类同分异构体共有________种.

(3)在上述转化过程中,反应步骤BC的目的是________.

(4)请设计合理方案合成(用反应流程图表示,并注明反应条件).

例:由乙醇合成聚乙烯的反应流程图可表示为CH3CH2OHCH2CH2

答案:
解析:

  答案:(1)

  (2)9种

  (3)保护酚羟基,使之不被氧化

  (4)

  思路解析:(1)A为芳香内酯分子式为C9H6O2,可写出A的结构简式为,从而可推出其水解后的B的结构简式为再结合B及C的分子式不难推出C的结构简式为

  (2)D的结构简式和对同分异构体的要求,所写同分异构体特点是苯环上要含二个取代基、且其水解产物之一要含有醛基,符合这些要求的应该有9种.

  (3)因酚羟基易被高锰酸钾氧化,所以步骤B→C的目的是先将酚羟基变为“-OCH3”保护起来.

  (4)本小题是要求由

  ,然后再根据所学知识找出正确的合成路线及所采用的试剂.


练习册系列答案
相关题目

违法和不良信息举报电话:027-86699610 举报邮箱:58377363@163.com

精英家教网