题目内容

有机玻璃是一种重要的塑料,有机玻璃的单体A(C5H8O2)不溶于水,并可以发生以下变化:

请回答:

(1)B分子中含有的官能团是________、________.

(2)由B转化为C的反应属于(选填序号)________.

①氧化反应 ②还原反应 ③加成反应 ④取代反应

(3)C的一氯代物D有两种,C的结构简式是________.

(4)由A生成B的化学方程式是________.

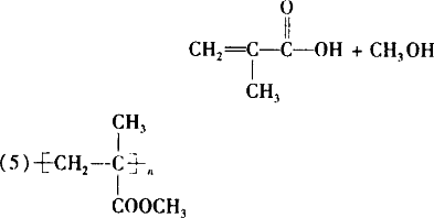
(5)有机玻璃的结构简式是________.

答案:
解析:

  答案:

  

  


练习册系列答案
相关题目

违法和不良信息举报电话:027-86699610 举报邮箱:58377363@163.com

精英家教网