题目内容

的混合溶液里,通入过量的并充分反应后,生成1.28g沉淀;把沉淀滤出后,在滤液里加入过量铁粉,充分反应后,滤出过量铁粉,细心蒸发滤液,可得7.96g含有4个结晶水的天蓝色晶体.计算该溶液中的质量各为多少克?

答案:
解析:

溶液里,通入过量的时,发生以下两个化学反应:

        ①

     ②

按照题意,这两个化学反应产生的CuS与S两种沉淀的质量之和是1.28g.

当滤出沉淀后,所得滤液是的混合溶液,是上述①②两个反应的共同产物,则是第二个反应的产物.在这个混合溶液中加入过量还原铁粉时,Fe跟发生置换反应,使全部转化为溶液.细心蒸发滤液,析出的天蓝色4水合晶体应是,依题意,可找出如下关系:

可列方程求出溶液中的质量.

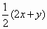
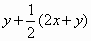
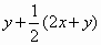
解答:设的物质的量为x,的物质的量为y

  x      x      2x

  y      y        y

,可列出如下方程:

     ①

加入过量铁粉及析品的反应及关系为:

    2x+y  

        

,可知,可列出如下方程:

    ②

解方程组①②可得:

x=0.0100(mol)    y=0.0200(mol)


练习册系列答案
相关题目

违法和不良信息举报电话:027-86699610 举报邮箱:58377363@163.com

精英家教网