题目内容

有一种矿石,测定知仅有镁、硅、氧三种元素,其质量之比为12∶7∶16.

(1)用盐的组成表示其化学式_________.

(2)用氧化物的组成表示其化学式_________.

(3)该矿石的成分属于_________(填物质的分类).

答案:略
解析:

(1)(2)(3)硅酸盐

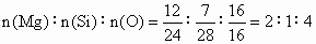
  将镁、硅、氧的质量之比换算成物质的量之比为:

  ,则问题迎刃而解.


练习册系列答案
相关题目

违法和不良信息举报电话:027-86699610 举报邮箱:58377363@163.com

精英家教网