题目内容

某含苯环的化合物A,其相对分子质量为104,碳的质量分数为92.3%.

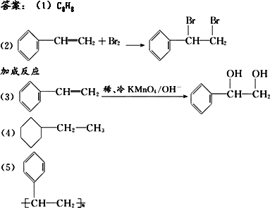
(1)A的分子式为________;

(2)A与溴的四氯化碳溶液反应的化学方程式为________,反应类型是________;

(3)已知:

请写出A与稀、冷的KMnO4溶液在碱性条件下反应的化学方程式________;

(4)一定条件下,A与氢气反应,得到的化合物中碳的质量分数为85.7%,写出此化合物的结构简式________;

(5)在一定条件下,由A聚合得到的高分子化合物的结构简式为________.

答案:
解析:

  

  解析:(1)m(C)=92.3%×104=96,则m(H)=8,不可能含其他原子.则96÷12=8,所以分子式为C8H8

  (2)该分子中含苯环,且分子能与溴的四氯化碳溶液反应,所以A应为乙烯基苯,该反应为加成反应;

  (3)分子中有碳碳双键,直接套用信息可得结果;

  (4)加氢反应,若只加成碳碳双键,则含H 9.43%,若苯环也加氢,则含H 14.3%,后者符合题意.

  (5)按碳碳双键的加聚反应写即可.


练习册系列答案
相关题目

违法和不良信息举报电话:027-86699610 举报邮箱:58377363@163.com

精英家教网