题目内容

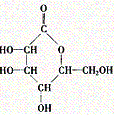
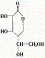
如下图所示:淀粉水解可产生某有机化合物AA在不同的氧化剂作用下,可以生成BC都不能发生银镜反应.ABC都可以被强还原剂还原成为B脱水可得到五元环的酯类化合物E或六元环的酯类化合物F.已知,相关物质被氧化的难易次序是:

  RCHO最易,次之,最难.

  请在下列空格中填写ABCDEF的结构简式.

  A_______________  B_______________

  C_______________  D_______________

  E_______________  F_______________

 

答案:
解析:

A.

B.

C.

D.

E.  或

F.  或

 


提示:

淀粉水解得到糖,糖属于多羟基化合物,氧化得醛或酮,B和C都不能发生银镜反应则不为醛,则为酮

 


练习册系列答案
相关题目

违法和不良信息举报电话:027-86699610 举报邮箱:58377363@163.com

精英家教网