ÌâÄ¿ÄÚÈÝ

£¨2003Äê¸ß¿¼»¯Ñ§ÊÔ²âÌ⣩¾Ý±¨µÀ£¬Ä¿Ç°ÎÒ¹ú½áºË²¡µÄ·¢²¡ÂÊÓÐ̧ͷµÄÇ÷ÊÆ¡£

ÒÖÖÆ½áºË¾úµÄÒ©Îï³ýÀ×Ã×·âÍ⣬PAS¡ªNa£¨¶Ô°±»ùË®ÑîËáÄÆ£©Ò²ÊÇÆäÖÐÒ»ÖÖ£¬ËüÓëÀ×Ã×    ·âͬʱ·þÓ㬿ÉÒÔ²úÉúЭͬ×÷Óá£

¢Ù¢Ú

£¨±½°·¡¢Èõ¼îÐÔ¡¢Ò×Ñõ»¯£©¢Û¢Ü

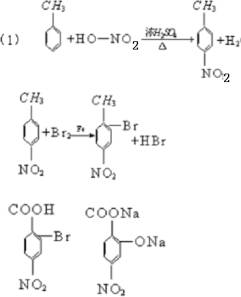
ÏÂÃæÊÇPAS¡ªNaµÄÒ»ÖֺϳÉ·Ïߣº

£¨¶Ô°±»ùË®ÑîËáÄÆ£©

Çë°´ÒªÇ󻨴ðÎÊÌ⣺

£¨1£©Ð´³öÏÂÁз´Ó¦µÄ»¯Ñ§·½³Ìʽ²¢Å䯽£º

A£º_________£»

A¡úB£º__________¡£

£¨2£©Ð´³öÏÂÁÐÎïÖʵĽṹ¼òʽ£ºC__________£»D__________¡£

£¨3£©Ö¸³ö·´Ó¦ÀàÐÍ¢ñ____________£»¢ò__________£»¢ó__________¡£

£¨4£©Ëù¼ÓÊÔ¼ÁÃû³Æ£ºX_______________£»Y_______________¡£

 

´ð°¸£º
½âÎö£º

£¨3£©È¡´ú·´Ó¦  Ñõ»¯·´Ó¦  »¹Ô­·´Ó¦

£¨4£©ËữµÄ¸ßÃÌËá¼ØÈÜÒº  CO2Ë®ÈÜÒº

 


Á·Ï°²áϵÁдð°¸
Ïà¹ØÌâÄ¿

Î¥·¨ºÍ²»Á¼ÐÅÏ¢¾Ù±¨µç»°£º027-86699610 ¾Ù±¨ÓÊÏ䣺58377363@163.com

¾«Ó¢¼Ò½ÌÍø