题目内容

如图所示:淀粉水解可产生某有机化合物AA在不同的氧化剂作用下,可以生成B(C6H12O7)C(C6H10O8)BC都不能发生银镜反应。ABC都可以被强还原剂还原成为D(C6H14O6)B脱水可得到五元环的酯类化合物E或六元环的酯类化合物F。已知,相关物质被氧化的难易次序是:RCHO最易,RCH2OH次之,最难。

请在下列空格中填写ABCDEF的结构简式。

A________    B________

C________    D________

E________    F________

 

答案:
解析:

A:CH2OH(CHOH)4CHO    B:CH2OH(CHOH)4COOH

C:HOOC(CHOH)4COOH       D:CH2OH(CHOH)4CH2OH

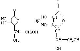
E:

F:

解析:淀粉的水解产物A应为葡萄糖[CH2OH(CHOH)4CHO],葡萄糖很容易被氧化为葡萄糖酸[CH2OH(CHOH)4COOH],即B,根据题给条件,—CH2OH也可被氧化,先成醛,再成酸,C应为HOOC(CHOH)4COOH,这和B、C不发生银镜反应相吻合。醛基、羧基在一定条件下可被还原为醇羟基,D为己六醇[CH2OH(CHOH)4CH2OH];葡萄糖酸()脱水得五元环酯类化合物,应是羧羟基与4位碳上的醇羟基脱水成酯,E为若得六元环酯类化合物,应是羧羟基与5位碳上的醇羟基脱水成酯,F为:

 


练习册系列答案
相关题目

违法和不良信息举报电话:027-86699610 举报邮箱:58377363@163.com

精英家教网