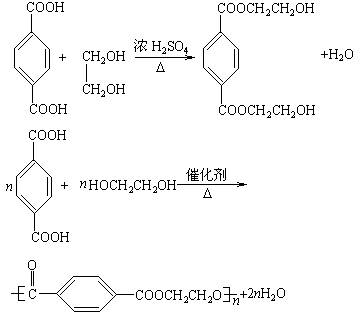
题目内容

根据图所示流程回答:

1)写出结构简式A________B________C________E________

2)反应类型①________,②________,③________,④________,⑤________

3)写化学方程式:C+EG___________________________________________

CE生成高分子化合物________________________________________________

 

答案:
解析:

(1)

(2)取代反应  氧化反应  氧化反应  加成反应  酯化反应

(3)

解析:D是BrCH2CH2Br,E是HOCH2CH2OH,由E、G知C应是,由C及二元醇推知B为,A应是

 


练习册系列答案
相关题目
(2011?青岛模拟)某研究性学习小组拟取盐湖苦卤的浓缩液(富含K+、Mg2+、Br-、SO42-、Cl-等),来制取较纯净的氯化钾晶体及液溴,他们设计了如下流程:

回答以下问题:
(1)操作Ⅰ的名称:
萃取、分液
萃取、分液
;要从橙色液体中分离出溴,所采取的操作需要的主要玻璃仪器除酒精灯和温度计外,还需要
蒸馏烧瓶、冷凝管、牛角管、锥形瓶
蒸馏烧瓶、冷凝管、牛角管、锥形瓶

(2)试剂z的化学式为
K2CO3
K2CO3
;检验SO42-已除尽的方法是
取无色溶液D,加入BaCl2溶液,若没有白色沉淀,则SO42-已除尽
取无色溶液D,加入BaCl2溶液,若没有白色沉淀,则SO42-已除尽

(3)写出操作Ⅲ的具体操作步骤
将溶液倒入蒸发皿中并置于三脚架上;加热并用玻璃棒不断搅拌蒸发皿中的液体,直到出现较多晶体时,停止加热
将溶液倒入蒸发皿中并置于三脚架上;加热并用玻璃棒不断搅拌蒸发皿中的液体,直到出现较多晶体时,停止加热

(4)某同学用如右图所示的实验装置制取氧化剂并将其通入盐湖苦卤中,装置b在实验中的作用是
安全瓶
安全瓶

;若把上述装置中的a、b作为气体的发生、收集装置,装置c可任意改进,则根据下列提供的药品,用这套装置还可以制取的气体是
;若用上述装置中的a、b制取并收集NO,应将装置b如何改进
将b中装满水
将b中装满水

①制NH3:浓氨水和碱石灰      ②制SO2:Cu片和浓硫酸
③制NO:Cu片和稀硝酸         ④制O2:MnO2和双氧水.
已知某FeCl3样品中含有少量FeCl2杂质,某实验小组要测定其中铁元素的质量分数,进行了一系列实验,其操作步骤如图所示:

根据如图所示流程示意图,请回答下列问题:
(1)操作Ⅰ中,在溶解样品时,滴加盐酸的作用是
增强溶液的酸性,抑制Fe3+水解
增强溶液的酸性,抑制Fe3+水解

(2)操作Ⅱ中,所用到的玻璃仪器除烧杯、玻璃棒、胶头滴管外,还必须有
250mL容量瓶
250mL容量瓶
(填仪器名称),操作Ⅲ必须用到的仪器是
c
c
 (填编号).
a.50mL烧杯
b.50mL量筒
c.25.00mL滴定管
(3)操作ⅠV中加入过量H2O2,将Fe2+完全氧化为Fe3+,完成并配平该离子方程式:
2
2
Fe2++
1
1
H2O2+
2
2
H+
H+
=
2
2
Fe3++
2
2
H2O.
(4)检验沉淀是否已经洗涤干净的操作步骤是
取少量最后一次洗出液,滴加硝酸,再滴加AgNO3溶液,若无沉淀生成,则证明洗涤干净
取少量最后一次洗出液,滴加硝酸,再滴加AgNO3溶液,若无沉淀生成,则证明洗涤干净

(5)在最后一步操作中,将沉淀物转移到
坩埚
坩埚
(填仪器名称)中灼烧、冷却后,用天平称量红棕色固体的质量为m1g,再次重复操作,称量其质量为m2g,若m1-m2=0.3,则接下来还应进行的操作是
应再次灼烧、冷却称量,直至两次质量差小于0.1g
应再次灼烧、冷却称量,直至两次质量差小于0.1g

(6)若坩埚的质量是W1g,坩埚与加热后固体的总质量是W2g,则样品中铁元素的质量分数是
14(w2-w1)
a
×100%
14(w2-w1)
a
×100%
(列出原始计算式);若称量准确,最终测量的结果偏大,则造成误差的原因可能是
固体加热时未充分反应变为Fe2O3
固体加热时未充分反应变为Fe2O3
(写出一种原因即可).

违法和不良信息举报电话:027-86699610 举报邮箱:58377363@163.com

精英家教网