题目内容

可逆反应C(s)+H2O(g)CO(g)+H2(g)达到平衡时,测得气体的总质量为m g,混合气体的物质的量为n mol,当改变条件使平衡向左移动达到新的平衡时,混合气体物质的量的变化值Δn=x,且m>12x,n>x.请回答下列问题:

(1)达到新的平衡时,混合气体的平均相对分子质量为_________.

(2)达到新的平衡时,混合气体的平均相对分子质量的变化值ΔMr=_________.

(3)若混合气体的平均相对分子质量呈下列变化趋势,请确定m和n的关系:

①若混合气体的平均相对分子质量增大,则有_________.

②若混合气体的平均相对分子质量不变,则有_________.

③若混合气体的平均相对分子质量减小,则有_________.

答案:
解析:

  答案:(1)Mr

  (2)

  (3)①m>12n ②m=12n ③m<12n

  解析:由反应C(s)+H2O(g)CO(g)+H2(g)知,平衡左移后,气体的总物质的量每减少1 mol,则气体的总质量减少12 g.

  若气体的总物质的量减少x mol,则气体的总质量减少12x g.

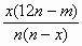
  (1)Mr(新)=.即平均相对分子质量为

  (2)旧平衡时气体的平均相对分子质量Mr

  ΔMr=Mr-Mr(新)=.或ΔMr=Mr(新)-Mr

  (3)①要使混合气体的平均相对分子质量增大,即要<0,推出m>12n.

  ②要使混合气体的平均相对分子质量不变,即要=0,推出m=12n.

  ③要使混合气体的平均相对分子质量减小,即要>0,推出m<12n.


练习册系列答案
相关题目

(14分,每空2分)

I.合成氨工业对国民经济和社会发展具有重要的意义。其原理为:

N2(g)+3H2(g) 2NH3(g)  △H= -92.4 kJ/mol   据此回答以下问题:

(1)为了提高氨气的产率,可以选择的方法是          _______ (填序号,错选扣分)。

       ① 升高温度   ② 增大压强   ③ 使用催化剂   ④ 及时分离出NH3

(2)对在密闭容器中进行的可逆反应:N2(g)+3H2(g)2NH3(g),下列哪种情况下,

说明该反应已经达到化学平衡状态____________________________________。

①N2的正反应速率是NH3的逆反应速率的1/2  

      ②在恒容条件下,混合气体的压强保持不变

③N2、H2、NH3的物质的量之比为1:3:2    

④单位时间内每生成3mol H2的同时有2mol NH3生成

⑤3mol N-N键断裂,同时有6mol N-H键断裂

(3)一定条件下,NH3在固定体积的密闭容器中发生分解反应(△H>0)并达平衡后,仅改变下表中反应条件x,该平衡体系中随x递增y递减的是________________(选填序号)。

 

选项

a

b

c

d

x

温度

温度

加入H2的物质的量

加入NH3的物质的量

y

NH3的物质的量

平衡常数K

NH3的转化率

生成物物质的量总和

 

II.(1)在酸性溶液中,碘酸钾(KIO3)和亚硫酸钠可发生如下反应:

2IO3+5SO32+2H===I2+5SO42+H2O

生成的碘可以用淀粉溶液检验,根据反应溶液出现蓝色所需的时间来衡量该反应的速率。

某同学设计实验如下表所示:

 

0.01mol·L-1

KIO3酸性溶液(含淀粉)的体积/mL

0.01mol·L-1

Na2SO3溶液的体积/mL

H2O的体积

/mL

实验

温度

/℃

溶液出现蓝色时所需时间/s

实验1

5

V1

35

25

---------

实验2

5

5

40

25

----------

实验3

5

5

V2

0

-----------

 该实验的目的是_______________________________________________________________

________________________________________________;

表中V1=___________mL.

(2)可逆反应C(s)+H2O(g)  H2(g)+CO(g),△H>0达到平衡后,改变某一外界条件(不改变物质的量的条件下),反应速率与时间t的关系如右图。

①图中t4到t6段时引起平衡移动的条件可能是             

②图中表示平衡混合物中CO的含量最高的一段时间是           

 

 

 

 

 

 

 

 

 

(14分,每空2分)
I.合成氨工业对国民经济和社会发展具有重要的意义。其原理为:
N2(g)+3H2(g)  2NH3(g)  △H=" -92.4" kJ/mol   据此回答以下问题:
(1)为了提高氨气的产率,可以选择的方法是          _______(填序号,错选扣分)。
① 升高温度  ② 增大压强  ③ 使用催化剂  ④ 及时分离出NH3
(2)对在密闭容器中进行的可逆反应:N2(g)+3H2(g)2NH3(g),下列哪种情况下,
说明该反应已经达到化学平衡状态____________________________________。
①N2的正反应速率是NH3的逆反应速率的1/2  
②在恒容条件下,混合气体的压强保持不变
③N2、H2、NH3的物质的量之比为1:3:2    
④单位时间内每生成3mol H2的同时有2mol NH3生成
⑤3mol N-N键断裂,同时有6mol N-H键断裂
(3)一定条件下,NH3在固定体积的密闭容器中发生分解反应(△H>0)并达平衡后,仅改变下表中反应条件x,该平衡体系中随x递增y递减的是________________(选填序号)。

选项
a
b
c
d
x
温度
温度
加入H2的物质的量
加入NH3的物质的量
y
NH3的物质的量
平衡常数K
NH3的转化率
生成物物质的量总和
 
II.(1)在酸性溶液中,碘酸钾(KIO3)和亚硫酸钠可发生如下反应:
2IO3+5SO32+2H===I2+5SO42+H2O
生成的碘可以用淀粉溶液检验,根据反应溶液出现蓝色所需的时间来衡量该反应的速率。
某同学设计实验如下表所示:
 
0.01mol·L-1
KIO3酸性溶液(含淀粉)的体积/mL
0.01mol·L-1
Na2SO3溶液的体积/mL
H2O的体积
/mL
实验
温度
/℃
溶液出现蓝色时所需时间/s
实验1
5
V1
35
25
---------
实验2
5
5
40
25
----------
实验3
5
5
V2
0
-----------
 该实验的目的是_______________________________________________________________
________________________________________________;
表中V1=___________mL.
(2)可逆反应C(s)+H2O(g)  H2(g)+CO(g),△H>0达到平衡后,改变某一外界条件(不改变物质的量的条件下),反应速率与时间t的关系如右图。
①图中t4到t6段时引起平衡移动的条件可能是             
②图中表示平衡混合物中CO的含量最高的一段时间是           

违法和不良信息举报电话:027-86699610 举报邮箱:58377363@163.com

精英家教网