题目内容

某种甜味剂A的甜度是蔗糖的200倍,由于它热量值低、口感好、副作用小,已在90多个国家广泛使用.A的结构简式为:

已知:①在一定条件下,羧酸酯或羧酸与含-NH2的化合物反应可以生成酰胺,如:

②酯比酰胺容易水解.

请填写下列空白:

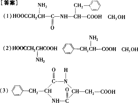
(1)在稀酸条件下加热,化合物A首先生成的水解产物是________和________.

(2)在较浓酸和长时间加热条件下,化合物A可以水解生成________、________和________.

(3)化合物A分子内的官能团之间也可以发生反应,再生成一个酰胺键,产物是甲醇和________.(填写结构简式,该分子中除苯环以外,还含有一个6原子组成的环)

答案:
解析:

  

  [解析]本题意在联系社会考查学生有机化学知识的应用能力,同时也考查了学生的信息接受与应用能力.利用信息②酯比酰胺容易水解,在条件(1)下,只能是A中的酯基水解,产物中必有甲醇;在条件(2)下,酯和酰胺都水解,产物有三种;由第三问中的题意可知,既然有甲醇生成,分子内官能团之间则按信息①中的第一步反应方式进行.


练习册系列答案
相关题目

违法和不良信息举报电话:027-86699610 举报邮箱:58377363@163.com

精英家教网