题目内容
有机物A可作为合成降血脂药物安妥明已知:
2下有机物分子结构不稳定,会发生变化:
②某些醇或酚可以与碳酸酯反应生成聚碳酸酯,如:
相关的合成路线如图所示.
(1)经质谱测定,有机物A的相对分子质量为58,燃烧2.9g有机物A,生成标准状况下3.36L CO2和2.7g H2O,A的核磁共振氢谱只出现一个吸收峰.则A的分子式是______.
(2)E→安妥明反应的化学方程式是______.
(3)C可能发生的反应类型(填选项序号)______.
a.取代反应 b.加成反应 c.消去反应 d.还原反应
(4)F的结构简式是______.
(5)写出同时符合下列条件的,E的同分异构体X的结构简式(只写1种即可)______.
①X能与饱和溴水发生取代反应
②X的苯环上有2个取代基,且苯环上的一溴取代物只有2种
③1mol X与足量NaHCO3溶液反应生成1mol CO2,与足量Na反应生成1mol H2
④X与NaOH水溶液发生取代反应所生成的官能团能被连续氧化为羧基.
【答案】分析:有机物A的相对分子质量为58,燃烧2.9g有机物A,生成标准状况下3.36L CO2和2.7g H2O,A的核磁共振氢谱只出现一个吸收峰,则n(A)=
=0.05mol,n(CO2)=
=0.15mol,n(H2O)=
=0.15mol,则1mol有机物含有3molC,6molH,O为
=1,有机物的分子式为C3H6O,A的结构简式为
,由某些醇或酚可以与碳酸酯反应生成聚碳酸酯的方程式,倒推F为
,E与乙醇反应生成安妥明,可推的E为
,D为
,由C的分子式,又由羟基在一个碳上不稳定,发生反应
,得C为
,B为
,结合有机物的结构和性质以及题目的要求可解答该题.
解答:解:有机物A的相对分子质量为58,燃烧2.9g有机物A,生成标准状况下3.36L CO2和2.7g H2O,A的核磁共振氢谱只出现一个吸收峰,则n(A)=
=0.05mol,n(CO2)=
=0.15mol,n(H2O)=
=0.15mol,则1mol有机物含有3molC,6molH,O为
=1,有机物的分子式为C3H6O,A的结构简式为
,由某些醇或酚可以与碳酸酯反应生成聚碳酸酯的方程式,倒推F为
,E与乙醇反应生成安妥明,可推的E为
,D为
,由C的分子式,又由羟基在一个碳上不稳定,发生反应
,得C为
,B为
,
(1)由以上分析可知A的分子式为,故答案为:C3H6O;
(2)E为
,与乙醇反应置换反应,反应的方程式为
,
故答案为:
;
(3)C为
,含有苯基,可发生加成、还原反应,还有-Cl,可发生取代反应,不能发生消去反应,
故答案为:a、b、d;
(4)由以上分析可知F为
,故答案为:
;
(5)E为
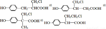
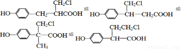
,对应的同分异构体:①X能与饱和溴水发生取代反应,说明含有酚羟基;
②X的苯环上有2个取代基,且苯环上的一溴取代物只有2种,应位于对位位置;
③1mol X与足量NaHCO3溶液反应生成1mol CO2,与足量Na反应生成1mol H2;说明分子中含有1个-COOH和1个-OH;
④X与NaOH水溶液发生取代反应所生成的官能团能被连续氧化为羧基,说明应含有-CH2Cl的结构,则可能的结构有
,
故答案为:
.
点评:本题考查有机物的合成与推断,题目难度不大,注意根据题给信息推断A的分子式和结构,本题可采用倒推法推断,明确各物质的结构为解答该题的关键,易错点为同分异构体的判断,注意根据题目要求推断可能具有的结构特点.
解答:解:有机物A的相对分子质量为58,燃烧2.9g有机物A,生成标准状况下3.36L CO2和2.7g H2O,A的核磁共振氢谱只出现一个吸收峰,则n(A)=
(1)由以上分析可知A的分子式为,故答案为:C3H6O;
(2)E为
故答案为:
(3)C为
故答案为:a、b、d;
(4)由以上分析可知F为
(5)E为
②X的苯环上有2个取代基,且苯环上的一溴取代物只有2种,应位于对位位置;
③1mol X与足量NaHCO3溶液反应生成1mol CO2,与足量Na反应生成1mol H2;说明分子中含有1个-COOH和1个-OH;
④X与NaOH水溶液发生取代反应所生成的官能团能被连续氧化为羧基,说明应含有-CH2Cl的结构,则可能的结构有
故答案为:
点评:本题考查有机物的合成与推断,题目难度不大,注意根据题给信息推断A的分子式和结构,本题可采用倒推法推断,明确各物质的结构为解答该题的关键,易错点为同分异构体的判断,注意根据题目要求推断可能具有的结构特点.
练习册系列答案
相关题目