ÌâÄ¿ÄÚÈÝ

ÈçÏÂͼËùʾ£¬µí·ÛË®½â¿É²úÉúijÓлú»¯ºÏÎïA£¬AÔÚ²»Í¬µÄÑõ»¯¼Á×÷ÓÃÏ£¬¿ÉÒÔÉú³ÉB(C6H12O7)»òC(C6H10O8)£¬BºÍC¶¼²»ÄÜ·¢ÉúÒø¾µ·´Ó¦£®A¡¢B¡¢C¶¼¿ÉÒÔ±»Ç¿»¹Ô­¼Á»¹Ô­³ÉΪD(C6H14O6)£®BÍÑË®¿ÉµÃµ½ÎåÔª»·µÄõ¥À໯ºÏÎïE»òÁùÔª»·µÄõ¥À໯ºÏÎïF£®

ÒÑÖª£¬Ïà¹ØÎïÖʱ»Ñõ»¯µÄÄÑÒ×´ÎÐòÊÇ£º

RCHO×îÒ×£¬R£­CH2OH´ÎÖ®£¬×îÄÑ£®

ÇëÔÚÏÂÁпոñÖÐÌîдA¡¢B¡¢C¡¢D¡¢E¡¢FµÄ½á¹¹¼òʽ£®

A________£»B________£»C________£»

D________£»E________£»F________£®

´ð°¸£º
½âÎö£º

¡¡¡¡´ð°¸£ºA£ºCH2OH(CHOH)4CHO

¡¡¡¡B£ºCH2OH(CHOH)4COOH

¡¡¡¡C£ºHOOC£­(CHOH)4£­COOH

¡¡¡¡D£ºHOCH2£­(CHOH)4£­CH2OH

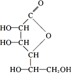
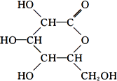
¡¡¡¡E£º

¡¡¡¡F£º

¡¡¡¡Ë¼Â·½âÎö£ºAÊǵí·ÛË®½âµÄ²úÎ²»ÄÑÈ·¶¨AÊÇÆÏÌÑÌÇ[CH2OH£­(CHOH)4£­CHO]£»BÊÇÑõ»¯£­CHOΪ£­COOHµÄÔµ¹Ê£¬ÔòBΪCH2OH(CHOH)4COOH£¬¶øCÒ²ÊÇAÑõ»¯µÄ²úÎÆä·Ö×ÓʽΪC6H10O8£¬Ó¦ÊÇ£­CHO¡¢£­CH2OH¾ùÑõ»¯Îª£­COOHËùÖ£¬ÔòCΪHOOC£­(CHOH)4£­COOH£»A¡¢B¡¢C¾ù¿É»¹Ô­ÎªD£¬ÔòDΪHOCH2£­(CHOH)4£­CH2OH£®ÒÀ¾ÝBÍÑË®Éú³ÉÎåÔª»·õ¥E»òÁùÔª»·õ¥F£¬¿Éд³öE¡¢FµÄ½á¹¹¼òʽ£®


Á·Ï°²áϵÁдð°¸
Ïà¹ØÌâÄ¿

Î¥·¨ºÍ²»Á¼ÐÅÏ¢¾Ù±¨µç»°£º027-86699610 ¾Ù±¨ÓÊÏ䣺58377363@163.com

¾«Ó¢¼Ò½ÌÍø