题目内容

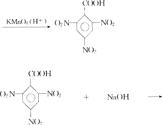
在强氧化剂如等氧化作用下,苯环上的烷基无论其长短如何,只要与苯环直接相连的碳原子上有H原子,则烷基即可被氧化为羧基().

虚线处的键断裂给出.羧酸盐与碱石灰共热,可发生脱羧基反应,如:

现以甲苯为原料,其余试剂任选,制取1,3,5-三硝基苯(),写出有关反应的化学方程式.

答案:
解析:

 


练习册系列答案
相关题目
最近,上海修建了多座千吨级垃圾发电厂。垃圾焚烧过程会产生酸性气体(SOx、NOx、HCl等)及强致癌物质二英。上海垃圾发电厂采用先进技术,使燃烧过程不放出任何有毒气体。采用硫化床焚烧炉、低温燃烧和分级燃烧,焚烧过程中生成的NOx很少,同时在床料中加入合适添加剂,使SOx在炉内除去。烟气(HCl)采用在吸收塔内加吸收剂吸收除去。焚烧炉内和烟道中生成的二英主要以固体形式附着在飞灰表面,可用有效除尘器或袋式过滤器前装一个固体吸收塔去除,也可以在焚烧炉的锅炉管束前喷入氨以减少二英的生成。完成下列各题:

(1)在焚烧炉的床料中加入__________可实现焚烧过程中产生的SOx在炉内除去。写出有关的反应方程式:_________________________________________________________________。

(2)在吸收塔内加入__________廉价吸收剂可除去烟气中的HCl,化学方程式为___________

____________________________________________________________________。

(3)二英主要是垃圾中存在的无机氯化物和有机氯化物在过渡金属(如Cu2+)催化作用下不完全燃烧形成的。以上操作中向焚烧炉内不断喷氨,其目的是________________________

____________________________________________________________________。

(4)为了减少垃圾焚烧过程产生二英,可用装有固体的吸收塔吸收,该固体吸收剂是__________,它具有__________性。

二氧化氮(NO2)是一种具有高度活性的气态物质,NO2与Na2O2均具有较强的氧化性,某研究性学习小组对二者能否发生反应进行探究。

【实验】

下列关于实验室制备NO2的说法正确的是_______

a.实验室常用铜和浓硝酸反应制取二氧化氮

b.二氧化氮常用向下排空气法收集

c.二氧化氮易溶于水,尾气可用水吸收.

d.用注射器收集的二氧化氮,压缩后颜色变浅

e.实验后容器中残留液需用碱液处理

【提出假设】

假设一:NO2与Na2O2二者不反应;

假设二:NO2能被Na2O2氧化;

假设三:                            

【查阅文献】

NO2在反应中能生成HNO3和HNO2;HNO2旣有氧化性,又有还原性,能被强氧化剂如KMnO4氧化。

【设计实验】

(1)实验时,将NO2气体通入盛有Na2O2的玻璃管中,淡黄色粉末完全变成白色,说明假设    不成立。

(2)若假设二成立,反应的化学方程式是              

(3)为验证假设二是否成立,该小组同学做了如下定性实验研究,请完成下表内容。

实验步骤

(不要求写具体操作过程,仪器任选)

预期的实验现象及结论

取适量的白色固体置于试管中,…………

 

 

【定量分析】

若实验前该小组同学用托盘天平称量过氧化钠的质量为3.9g,充分反应后白色固体质量为8.4g,该小组同学得出假设2不成立的结论。你是否同意他们的结论,并简述理由:               

 

违法和不良信息举报电话:027-86699610 举报邮箱:58377363@163.com

精英家教网