题目内容

实验测得某碳氢化合物A中,含碳80%、含氢20%,又测得该化合物的相对分子质量是30,该化合物的分子式是

[  ]

A.

CH4

B.

C2H6

C.

C2H4

D.

C3H6

答案:B
解析:

  N(C)∶N(H)==1∶3

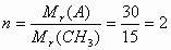
  设该化合物分子中含有n个CH3,则:

  

  该化合物的分子式是C2H6


练习册系列答案
相关题目

违法和不良信息举报电话:027-86699610 举报邮箱:58377363@163.com

精英家教网