题目内容

已知546K时,1mol气体的体积为44.8L,现将此条件下的混合气通过装有催化剂的反应器,充分反应后(假设反应完全)气体的体积为,所得气体用含溶液吸收,恰好完全反应,当产物分别为下列三种情况时计算并推导a的表达式(表示):(1);(2);(3)

答案:
解析:

(1)当生成时说明全部转化成

2   △1    

在该状态下

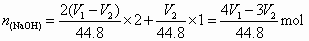
(2)生成时说明过量

△1  2  2  1

    

(3)生成时,过量


练习册系列答案
相关题目

违法和不良信息举报电话:027-86699610 举报邮箱:58377363@163.com

精英家教网