ÌâÄ¿ÄÚÈÝ

ÓÉ̼¡¢Çâ¡¢ÑõÈýÖÖÔªËØ×é³ÉµÄijÓлúÎ·Ö×ÓÖй²º¬ÓÐ10¸öÔ­×Ó£¬ÆäÔ­×Ó

ºËÍâ¹²ÓÐ32¸öµç×Ó£¬lmol¸ÃÓлúÎïÔÚÑõÆøÖÐÍêȫȼÉÕʱÐèÒª4molO2£¬»Ø´ð£º

(1)Çó¸ÃÓлúÎïµÄ·Ö×Óʽ¡£

(2)Èô¸ÃÓлúÎï¿ÉʹäåË®ÍÊÉ«£¬µ«²»·¢ÉúÒø¾µ·´Ó¦£¬È¡2mol¸ÃÓлúÎïÓë×ãÁ¿ÄÆ·´Ó¦£¬

ÄܲúÉú22.4L H2(±ê×¼×´¿ö)£¬Ôò¸ÃÓлúÎïµÄ½á¹¹¼òʽ¿ÉÄÜÊÇʲô?

(3)Èô¸ÃÓлúÎïÄÜ·¢ÉúÒø¾µ·´Ó¦£¬ÔòÆä½á¹¹¼òʽÊÇʲô? ²¢Ð´³ö¸ÃÓлúÎï·¢ÉúÒø¾µ·´Ó¦µÄ»¯Ñ§·½³Ìʽ¡£

 

¡¾´ð°¸¡¿

(1) C3H6O     (2) CH£½CH£­CH2OH     (3)  CH3CH2CHO    

CH3CH2CHO  + 2Ag(NH3)2OH  CH3CH2COONH4 + 2Ag + 3NH3 + H2O

¡¾½âÎö¡¿

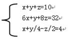
ÊÔÌâ·ÖÎö£º(1)Éè¸ÃÓлúÎïµÄ·Ö×ÓʽΪCxHyOz£¬ÒòΪ·Ö×ÓÖй²º¬ÓÐ10¸öÔ­×Ó£¬ËùÒÔx+y+z=10£¬ÆäÔ­×Ó,ºËÍâ¹²ÓÐ32¸öµç×Ó£¬¼´6x+y+8z=32£»lmol¸ÃÓлúÎïÔÚÑõÆøÖÐÍêȫȼÉÕʱÐèÒª4molO2£¬¹Êx+y/4-z/2=4£¬ÁªÁ¢µÃµ½£º

£¬

½âµÃ£¬x=3£¬y=6£¬z=1£¬ËùÒÔ¸ÃÓлúÎïµÄ·Ö×ÓʽΪ£ºC3H6O£»

(2)Èô¸ÃÓлúÎï¿ÉʹäåË®ÍÊÉ«£¬µ«²»·¢ÉúÒø¾µ·´Ó¦£¬ÓÖÓлúÎïµÄ·Ö×ÓʽΪ£ºC3H6O£¬Æä²»±¥ºÍ¶ÈΪ1£¬ËùÒÔ¸ÃÓлúÎﺬÓÐ̼̼˫¼ü£¬2mol¸ÃÓлúÎïÓë×ãÁ¿ÄÆ·´Ó¦£¬ÄܲúÉú22.4L H2(±ê×¼×´¿ö)£¬ËµÃ÷¸ÃÓлúÎﺬÓÐôÇ»ù£¬¹Ê¸ÃÓлúÎïµÄ½á¹¹¼òʽ¿ÉÄÜΪCH£½CH£­CH2OH£¬£¨ôÇ»ù²»ÄÜÁ¬½ÓÔÚË«¼üÉϵÄ̼£¬ÕâÑùµÄ½á¹¹²»Îȶ¨£©£»(3)Èô¸ÃÓлúÎïÄÜ·¢ÉúÒø¾µ·´Ó¦£¬Ôò¸ÃÓлúÎﺬÓÐÈ©»ù£¬ËùÒÔÆä½á¹¹¼òʽΪ£ºCH3CH2CHO£¬Æä·¢ÉúÒø¾µ·´Ó¦µÄ»¯Ñ§·½³ÌΪ£º

CH3CH2CHO  + 2Ag(NH3)2OH  CH3CH2COONH4 + 2Ag + 3NH3 + H2O¡£

¿¼µã£ºÓлúÎï·Ö×Óʽ¡¢½á¹¹¼òʽµÄÈ·¶¨

µãÆÀ£º±¾Ì⿼²éÁËÓлúÎï·Ö×Óʽ¡¢½á¹¹¼òʽµÄÈ·¶¨£¬±¾Ìâ×ÛºÏÐԺã¬ÄѶÈÖеȡ£

 

Á·Ï°²áϵÁдð°¸
Ïà¹ØÌâÄ¿
ÓлúÎïAÓÉ̼¡¢Çâ¡¢ÑõÈýÖÖÔªËØ×é³É£¬¿ÉÓÉÆÏÌÑÌÇ·¢½ÍµÃµ½£¬Ò²¿É´ÓËáÅ£ÄÌÖÐÌáÈ¡£¬´¿¾»µÄAΪÎÞɫճ³íÒºÌ壬Ò×ÈÜÓÚË®£®ÎªÑо¿AµÄ×é³ÉÓë½á¹¹£¬½øÐÐÁËÈçÏÂʵÑ飺
£¨1£©³ÆÈ¡A 9.0g£¬ÉýÎÂʹÆäÆû»¯£¬²âÆäÃܶÈÊÇÏàͬÌõ¼þÏÂH2µÄ45±¶£® ÊÔͨ¹ý¼ÆËãÌî¿Õ£º£¨1£©ÓлúÎïAµÄÏà¶Ô·Ö×ÓÖÊÁ¿Îª£º
90
90
£®
£¨2£©½«´Ë9.0gAÔÚ×ãÁ¿´¿O2³ä·ÖȼÉÕ£¬²¢Ê¹Æä²úÎïÒÀ´Îͨ¹ý¼îʯ»Ò¡¢ÎÞË®ÁòËáÍ­·ÛÄ©¡¢×ãÁ¿Ê¯»ÒË®£¬·¢ÏÖ¼îʯ»ÒÔöÖØ14.2g£¬ÁòËáÍ­·ÛĩûÓбäÀ¶£¬Ê¯»ÒË®ÖÐÓÐ10.0g°×É«³ÁµíÉú³É£»ÏòÔöÖØµÄ¼îʯ»ÒÖмÓÈë×ãÁ¿ÑÎËáºó£¬²úÉú4.48LÎÞÉ«ÎÞÎ¶ÆøÌ壨±ê×¼×´¿ö£©£® £¨2£©9.0gÓлúÎïAÍêȫȼÉÕʱ£¬¾­¼ÆË㣺
Éú³ÉCO2¹²Îª
0.3
0.3
 mol£¬
Éú³ÉµÄH2O
5.4
5.4
 g£®
ÓлúÎïAµÄ·Ö×Óʽ
C3H6O3
C3H6O3
£®
£¨3£©ÁíÈ¡A 9.0g£¬¸ú×ãÁ¿µÄNaHCO3·ÛÄ©·´Ó¦£¬Éú³É2.24LCO2£¨±ê×¼×´¿ö£©£¬ÈôÓë×ãÁ¿½ðÊôÄÆ·´Ó¦ÔòÉú³É2.24LH2£¨±ê×¼×´¿ö£©£® £¨3£©AµÄ½á¹¹¼òʽ
CH3CH£¨OH£©COOH
CH3CH£¨OH£©COOH
£®Ð´³öAÉú³ÉBµÄ»¯Ñ§·½³Ìʽ
2CH3CH£¨OH£©COOH
ŨÁòËá
¡÷
+2H2O
2CH3CH£¨OH£©COOH
ŨÁòËá
¡÷
+2H2O
£®
£¨4£©ÓлúÎïA¿É×ÔÉí·¢Éúõ¥»¯·´Ó¦Éú³ÉÁùÔ­×Ó»·µÄõ¥B£®
£¨1£©×¼È·³ÆÈ¡3.0gÓлúÎïÑùÆ·A£¨Ö»º¬ÓÐC¡¢H¡¢OÈýÖÖÔªËØÖеÄÒ»ÖÖ»òÈýÖÖ£©£¬ÔÚÑõÆøÖгä·ÖȼÉÕºóÉú³É3.6gË®ºÍ3.36L£¨±ê×¼×´¿öÏ£©CO2£®
¢Ùͨ¹ý¼ÆËãÈ·¶¨¸ÃÓлúÎïµÄʵÑéʽ£®
¢ÚҪȷ¶¨¸ÃÓлúÎïµÄ·Ö×Óʽ£¬ÊÇ·ñ»¹ÒªÆäËûµÄÌõ¼þ£¬Çë¼òÊöÆäÀíÓÉ
HÔ­×ÓÒѾ­±¥ºÍ£¬×î¼òʽ¼´Îª·Ö×Óʽ
HÔ­×ÓÒѾ­±¥ºÍ£¬×î¼òʽ¼´Îª·Ö×Óʽ
£®
¢Û×ÜÎïÖʵÄÁ¿Ò»¶¨µÄÇé¿öÏ£¬¸ÃÓлúÎïºÍÄ³ÆøÌ¬ÌþµÄ»ìºÍÎÎÞÂÛÒԺαÈÀý»ìºÏ£¬ÍêȫȼÉÕËùÏûºÄµÄÑõÆøµÄÎïÖÊÁ¿Ò²Îª¶¨Öµ£¬Ôò¸ÃÌþµÄ·Ö×ÓʽΪ
C3H6
C3H6

£¨2£©ÓлúÎïBÓÉ̼£¬Ç⣬ÑõÈýÖÖÔªËØ×é³É£®ÏÖÈ¡4.6gBÓë5.6LÑõÆø£¨±ê×¼×´¿ö£©ÔÚÃܱÕÈÝÆ÷ÖÐȼÉÕ£¬È¼ÉÕºóÖ»Éú³ÉCO2¡¢COºÍË®ÕôÆø£¨¼ÙÉ跴ӦûÓÐÊ£Óࣩ£¬½«·´Ó¦Éú³ÉµÄÆøÌåÒÀ´Îͨ¹ýŨÁòËáºÍ¼îʯ»Ò£¬Å¨ÁòËáÔöÖØ5.4g£¬¼îʯ»ÒÔöÖØ4.4g£®»Ø´ðÏÂÁÐÌ⣺
¢Ù4.6gBÖÐËùº¬ÇâÔ­×ÓµÄÎïÖʵÄÁ¿Îª
0.6mol
0.6mol
£¬Ì¼Ô­×ÓµÄÎïÖʵÄÁ¿Îª
0.2mol
0.2mol
£»
¢Úͨ¹ý¼ÆËãÈ·¶¨¸ÃÓлúÎïµÄ·Ö×Óʽ£º
£¨3£©¿ÉÒÔÀûÓú˴ʲÕñÇâÆ×·¨È·¶¨ÓлúÎïBµÄ½á¹¹£¬ÇëÍê³ÉÏÂ±í£º
ÅжÏÒÀ¾Ý ½áÂÛ£¨Ð´½á¹¹¼òʽ£©£©
ºË´Å¹²ÕñÇâÆ×ÓÐ1¸ö·å
CH3OCH3
CH3OCH3
 
ºË´Å¹²ÕñÇâÆ×ÓÐ3¸ö·å
CH3CH2OH
CH3CH2OH
 

Î¥·¨ºÍ²»Á¼ÐÅÏ¢¾Ù±¨µç»°£º027-86699610 ¾Ù±¨ÓÊÏ䣺58377363@163.com

¾«Ó¢¼Ò½ÌÍø