题目内容
请在虚线框内画出测量小灯泡电阻的实验电路图,并用笔代替导线连接

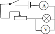
解:电压表与灯泡并联,电流表与灯泡串联,电流从电压表和电流表的正接线柱流入、从负接线柱流出.
如图.

电路图如下所示:

分析:为测定小灯泡的电阻,根据欧姆定律知:需要测出灯泡的电压和电流;
需要将电压表与灯泡并联测灯泡两端的电压,电流表与灯泡串联测通过灯泡的电流.
注意电压表和电流表的正负接线柱.
点评:本题考查了电压表、电流表、滑动变阻器的正确连接方法,这几个知识点都是伏安法测电阻的基础知识和基本技能,一定要掌握.
如图.
电路图如下所示:
分析:为测定小灯泡的电阻,根据欧姆定律知:需要测出灯泡的电压和电流;
需要将电压表与灯泡并联测灯泡两端的电压,电流表与灯泡串联测通过灯泡的电流.
注意电压表和电流表的正负接线柱.
点评:本题考查了电压表、电流表、滑动变阻器的正确连接方法,这几个知识点都是伏安法测电阻的基础知识和基本技能,一定要掌握.
练习册系列答案
相关题目
影响导体电阻大小有多种因素.如图甲所示的实验是 为了探究导体电阻大小与 的关系.同学们查阅 资料后知道某些导体的电阻还与磁场强弱有关(磁场强弱称为磁场强度,用符号B表示,其单位为特斯拉,用符号T表示),电阻随磁场的增强而增大,利用这种关系可以测量磁场的强度.如图乙所示为室温下某磁敏电阻阻值R随磁场强度变化的曲线.若实验室可提供以下器材:磁敏电阻、蹄形磁铁、电源、开关、导线、滑动变阻器、电压表、电流表(毫安为单位).

(1)现要测定如图丙所示蹄形磁铁两极间磁敏电阻R所在处的磁场强度,请在虚线框内画出实验电路图;
(2)某同学正确实验后,测得磁敏电阻R两端的电压与电流的数据如下:
请利用表中数据计算该磁敏电阻R在此磁场电的阻值为 欧,该处磁场强度大约为 特斯拉;
(3)若要在上述实验后继续研究磁敏电阻大小与磁场方向的关系,则只要在原实验中改变 即可.
(1)现要测定如图丙所示蹄形磁铁两极间磁敏电阻R所在处的磁场强度,请在虚线框内画出实验电路图;
| 实验次数 | 1 | 2 | 3 |
| U/伏 | O.45 | O.91 | 1.5O |
| I/毫安 | O.3 | O.6 | 1.0 |
请利用表中数据计算该磁敏电阻R在此磁场电的阻值为
(3)若要在上述实验后继续研究磁敏电阻大小与磁场方向的关系,则只要在原实验中改变