题目内容

如图所示电路,电源电压为18伏且不变,电阻R1的阻值为10欧,滑动变阻器R2上标有“100Ω 2A”字样。

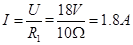
①当滑动变阻器R2接入电路的阻值为20欧时,闭合电键S电流表A的示数。

②要求选择合适的电表量程且量程不变,当电键S闭合后,整个电路中的元件都不损坏的前提下,移动滑片,使滑动变阻器R2允许接入电路中的阻值变化量达到最大。(电流表A的表盘如图(a)所示,电压表V1 和V2的表盘如图(b)所示)。

         (a)                     (b)

a.电流表A选择            安(选填“0~0.6”或“0~3”)

电压表V1选择            伏(选填“0~3”或“0~15”)

电压表V2选择            伏(选填“0~3”或“0~15”)

b.满足要求时,求出滑动变阻器R2接入电路中的阻值范围。

 

【答案】

①0.6A;②a. “0~3”;“0~15”;“0~15”b.

【解析】

试题分析:①  

②当滑动变阻器接入电路的电阻为0时,,此时电流表和滑动变阻器都不会烧坏,但此时电阻两端的电压为18V,而电压表的量程为0~15V,所以会被烧坏。

为了保证不烧坏,最大为15V,此时 根据得:

解得:

当滑动变阻器接入电路的阻值增大时,电流表和电压表的示数都减小,不会烧坏,而电压表的示数增大,为了保证不烧坏,最大为15V,根据得:

解得: 

所以为了保证电路安全,滑动变阻器允许接入电路的阻值范围是

考点:欧姆定律

 

练习册系列答案
相关题目

违法和不良信息举报电话:027-86699610 举报邮箱:58377363@163.com

精英家教网